中华人民共和国国家标准
光伏发电站设计标准
Standard for design of photovoltaic power station
GB 50797-2012
发布部门:中华人民共和国住房和城乡建设部
中华人民共和国国家质量监督检验检疫总局
发布日期:2012年06月28日
实施日期:2012年11月01日
中华人民共和国住房和城乡建设部公告
第1428号
关于发布国家标准《光伏发电站设计规范》的公告
现批准《光伏发电站设计规范》为国家标准,编号为GB 50797-2012,自2012年11月1日起实施。其中,第3.0.6、3.0.7、14.1.6、14.2.4条为强制性条文,必须严格执行。
本规范由我部标准定额研究所组织中国计划出版社出版发行。
中华人民共和国住房和城乡建设部
二〇一二年六月二十八日
本规范是根据住房和城乡建设部《关于印发<2009年工程建设标准规范制订、修订计划>的通知》(建标【2009】88号)的要求,由上海电力设计院有限公司会同有关单位编制完成的。
本规范共分14章,主要技术内容是:总则,术语和符号,基本规定,站址选择,太阳能资源分析,光伏发电系统,站区布置,电气,接入系统,建筑与结构,给排水、暖通与空调,环境保护与水土保持,劳动安全与职业卫生,消防,并有三个附录。
本规范中以黑体字标志的条文为强制性条文,必须严格执行。
本规范由住房和城乡建设部负责管理和对强制性条文的解释,由中国电力企业联合会负责日常管理,由上海电力设计院有限公司负责具体技术内容的解释。执行过程如有意见或建议,请寄送上海电力设计院有限公司(地址:上海市重庆南路310号;邮政编码:200025)。
本规范主编单位、参编单位、主要起草人和主要审查人:
主编单位:上海电力设计院有限公司 中国电力企业联合会
参编单位:中国电子工程设计院 协鑫光伏系统有限公司 中国科学院电工研究所 北京科诺伟业科技有限公司 新疆电力设计院 福建钧石能源有限公司 上海绿色环保能源有限公司 中电电气(南京)太阳能研究院有限公司 上海神舟电力有限公司 诺斯曼能源科技(北京)有限公司 四川中光防雷科技股份有限公司 北京鉴衡质量认证中心 北京乾华科技股份有限公司 无锡昊阳新能源科技有限公司 国电太阳能研究设计院
主要起草人:郭家宝 徐永邦 顾华敏 袁智强 于金辉 朱伟钢 王 立 余 寅 刘代智 朱开情 何 晖 于 耘 张 萍 曹海英 晁 阳 赵小勇 龚春景 嵇尚海 刘莉敏 黄 键 吕平洋 谈 红 唐征岐 程 序 张开军 陈水松 霍达仁 朱 涛 乔海文 许兰刚 贾艳刚 司德亮 李 扬 王德言 王 宗 叶留金 张海平
主要审查人:王斯成 许松林 汪 毅 李世民 袁凯峰 韩传高 吴金华 高 平 王 野 张海洋 鄢长会 王玉国 王文平 冉启平 陈默子 吕宏水 冯 炜 习 伟 钟天宇 林岚岚 姜世平 王小京 李晓军 张树森 韩金玲 张 磊 杨戈秀
制定说明
《光伏发电站设计规范》GB 50797-2012,经住房和城乡建设部2012年6月28日以第1428号公告批准发布。
本规范制定过程中,编制组进行了广泛、深入的调查研究,总结了我国在太阳能光伏发电站建设中的实践经验,同时参考了国外先进技术法规、技术标准。
为便于广大设计、施工、科研、学校等单位有关人员在使用本规范时能正确理解和执行条文规定,《光伏发电站设计规范》编制组按章、节、条顺序编制了本规范的条文说明。对条文规定的目的、依据以及执行中需注意的有关事项进行了说明,还着重对强制性条文的强制性理由作了解释。但是,本条文说明不具备与规范正文同等的法律效力,仅供使用者作为理解和把握规范规定的参考。
局部修订说明
《光伏发电站设计规范》局部修订的公告
局部修订的条文在住房城乡建设部门户网站(www.mohurd.gov.cn)公开,并在《工程建设标准化》刊登。
2024年11月19日
1 总则
条文说明
1.0.2 本标准适用于各种类型的并网光伏发电站,包括地面(含滩涂)光伏发电站、水上光伏发电站、建筑光伏发电站以及与农业、牧业等相结合的光伏发电站,同样也包括用户侧并网光伏发电站;独立光伏发电站则适用于100kW及以上的独立光伏发电站,100kW以下的独立光伏发电站不在本标准适用范围之内。
由于直流电网的技术特点,近年来直流配电网受到了国内外的广泛关注。直流配电网有利于分布式光伏系统和储能装置的接入,但由于我国对直流配电网的研究尚处于试验探索和工程试点阶段,相关标准和技术尚未成熟,一些关键技术有待突破,存在大量需要深入研究的问题。因此对于并入直流电网的光伏发电系统,本标准尚不能完全适用,但光伏方阵部分的设计是可以参照本标准执行的。
1.0.3 并网光伏发电站对电网的安全稳定运行影响较大,建设前应进行接入电网技术方案的可行性研究论证,该技术方案还需获得当地电网管理部门的认可。
2 术语和符号
2.1 术语
2.1.1 光伏组件 PV module
具有封装及内部联结的、能单独提供直流电输出的、最小不可分割的太阳电池组合装置。又称太阳电池组件(solar cell module)。
2.1.2 光伏组件串 photovoltaic modules string
在光伏发电系统中,将若干个光伏组件串联后,形成具有一定直流电输出的电路单元。
2.1.5 光伏发电系统 photovoltaic (PV)power generation system
利用太阳电池的光生伏特效应,将太阳辐射能直接转换成电能的发电系统。
2.1.6 光伏发电站 photovoltaic (PV)power station
以光伏发电系统为主,包含各类建(构)筑物及检修、维护、生活等辅助设施在内的发电站。
2.1.7 辐射式连接 radial connection
各个光伏发电单元分别用断路器与发电站母线连接。
2.1.8 “T”接式连接 tapped connection
若干个光伏发电单元并联后通过一台断路器与光伏发电站母线连接。
2.1.9 跟踪系统 tracking system
通过支架系统的旋转对太阳入射方向进行实时跟踪,从而使光伏方阵受光面接收尽量多的太阳辐照量,以增加发电量的系统。
2.1.10 单轴跟踪系统 single-axis tracking system
绕一维轴旋转,使得光伏组件受光面在一维方向尽可能垂直于太阳光的入射角的跟踪系统。
2.1.11 双轴跟踪系统 double-axis tracking system
绕二维轴旋转,使得光伏组件受光面始终垂直于太阳光的入射角的跟踪系统。
2.1.12 集电线路 collector line
在分散逆变、集中并网的光伏发电系统中,将各个光伏组件串输出的电能,经汇流箱汇流至逆变器,并通过逆变器输出端汇集到发电母线的直流和交流输电线路。
2.1.13 公共连接点 point of common coupling(PCC)
电网中一个以上用户的连接处。
2.1.14 并网点 point of coupling(POC)
对于有升压站的光伏发电站,指升压站高压侧母线或节点。对于无升压站的光伏发电站,指光伏发电站的输出汇总点。
2.1.15 孤岛 islanding
在电网失压时,光伏发电站仍保持对失压电网中的某一部分线路继续供电的状态。又称孤岛现象。
2.1.16 计划性孤岛 intentional islanding
按预先设置的控制策略,有计划地出现的孤岛现象。
2.1.17 非计划性孤岛 unintentional islanding
非计划、不受控出现的孤岛现象。
2.1.18 防孤岛 Anti-islanding
防止非计划性孤岛现象的发生。
2.1.19 峰值日照时数 peak sunshine hours
一段时间内的辐照度积分总量相当于辐照度为1kw/m2的光源所持续照射的时间,其单位为小时(h)。
2.1.20 低电压穿越 low voltage ride through
当电力系统故障或扰动引起光伏发电站并网点电压跌落时,在一定的电压跌落范围和时间间隔内,光伏发电站能够保证不脱网连续运行。
2.1.21 光伏发电站年峰值日照时数 annual peak sunshine hours of PV station
将光伏方阵面上接收到的年太阳总辐照量,折算成辐照度1kW/m2下的小时数。
2.1.22 法向直接辐射辐照度 direct normal irradiance(DNI)
到达地表与太阳光线垂直的表面上的太阳辐射强度。
2.1.24 峰瓦 watts peak
光伏组件或光伏方阵在标准测试条件下,最大功率点的输出功率的单位。
2.1.25 真太阳时 solar time
以太阳时角作标准的计时系统,真太阳时以日面中心在该地的上中天的时刻为零时。
利用硬件设备和软件控制策略,让光伏组件串的输出功率始终工作在最大功率点附近。
条文说明
2.1.1 光伏组件种类较多,目前较常用的光伏组件有单晶硅光伏组件、多晶硅光伏组件、非晶硅薄膜光伏组件、碲化镉薄膜光伏组件和高倍聚光光伏组件。
2.1.3 单元发电模块一般以逆变升压系统来划分单元,其规模容量根据电站建设条件、组件串电压等级和逆变后交流电压来确定,大、中型地面光伏发电站通常以1MW及以上容量为一个单元发电模块,该模块包括一个升压变压器。
2.1.4 光伏方阵主要包含光伏组件、组件串等,为了便于运维管理,光伏方阵一般以所接入逆变器来划分单元。组串式逆变器的光伏方阵范围示意参见图1A;集中式或集散式逆变器的光伏方阵范围示意参见图1B。

图1A 组串式逆变器的光伏方阵示意图
图1B 集中式或集散式逆变器的光伏方阵示意图
2.1.5 光伏发电系统一般包含逆变器和光伏方阵等,也可包含变压器。
2.1.21 该术语参照现行国家标准《太阳能热利用术语》GB/T 12936-2007,定义3.24。
当光伏电站配置储能系统时,储能变流器的容量不计入光伏发电站的额定容量中。
2.2 符号
2.2.1 能量、功率
Ep——上网发电量(kW·h);
Es——标准条件下的辐照度(常数=1kW/㎡);
HA——水平面太阳能总辐照量(kW·h/㎡);
PAZ——组件安装容量(kWp);
GA——光伏阵列面太阳总辐照量(kW·h/㎡)。
2.2.2 电压
Vdcmax——逆变器和光伏组件允许的最大系统电压(V);
Vmpptmax——逆变器MPPT电压最大值(V);
Vmpptmin——逆变器MPPT电压最小值(V);
Voc——光伏组件的开路电压(V);
Vpm——光伏组件的最佳工作电压(V)。
2.2.3 温度、时间
t——昼间环境下光伏组件的极限低温(℃);
t’——工作状态下光伏组件电池的极限高温(℃)。
2.2.4 无量纲系数
K——其他效率系数;
Kv——光伏组件的开路电压温度系数;
Kv ′——光伏组件的工作电压温度系数;
N——光伏组件的串联数(N取整);
PR——光伏发电系统效率;
CPR——光伏发电综合效率。
2.2.5 结构系数
C——结构或结构构件达到正常使用要求所规定的变形限值;
R——结构构件承载力的设计值;
S——荷载效应组合的设计值;
γG——永久荷载作用的分项系数;
γw——风荷载作用的分项系数;
γt——温度荷载作用的分项系数;
γs——雪荷载作用的分项系数;
γM——施工检修荷载作用的分项系数;
SGk——永久荷载作用标准值Gk的效应;
Stk、ψt——温度荷载作用标准值Qtk的效应和其组合值系数;
SWk、ψW——风荷载作用标准值QWk的效应和其组合值系数;
SSk、ψS——雪荷载作用标准值QSk的效应和其组合值系数;
SMk、ψM——施工检修荷载作用标准值QMk的效应和其组合值系数。
3 基本规定
3.0.6 建筑物上安装的光伏发电系统,不得降低相邻建筑物的日照标准。
3.0.7 在既有建筑物上增设光伏发电系统,必须进行建筑物结构和电气的安全复核,并应满足建筑结构及电气的安全性要求。
3.0.8 光伏发电站设计时应对站址及其周围区域的工程地质情况进行勘探和调查,查明站址的地形地貌特征、结构和主要地层的分布及物理力学性质、地下水条件等。
3.0.9 (此条删除)
3.0.14 光伏发电站的消防设计应符合现行国家标准《建筑设计防火规范》GB50016、《火力发电厂与变电站设计防火标准》GB50229、《消防给水及消火栓系统技术规范》GB 50974和《建筑防烟排烟系统技术标准》GB51251的规定。
条文说明
3.0.5 与其他发电方式相比,光伏发电系统简单、设备集成度高,相对来说比较容易能实现电站智能化运行。优先选用智能一体化设备或装置、现代数字信息技术和集成优化控制管理系统,可以实现光伏电站与智能电网、需求侧相互协调,与资源和环境相互融合,大大提高电站安全、高效、经济运行的水平。
3.0.6 当建筑物上安装的光伏发电系统,对相邻建筑物的日照有影响时,为了避免与建筑周围邻近建筑物业主之间因日照引起纠纷,在光伏发电站建设前,需要事先与相关业主进行充分协商,并达成一致意见。
3.0.7 在既有建筑物上建设光伏发电系统,有可能对既有建筑物的安全性造成不利影响,威胁人身安全,因此必须进行安全复核。这些不利影响包括但不限于增加了既有建筑物的荷载,对既有建筑物的结构造成了破坏,导热不利致使既有建筑物局部温度过高,防雷接地性能不足等。
3.0.8 地质勘探或调查的目的是为确定站址、解决岩土工程问题提供基础资料。
3.0.12 光伏发电站的电气设备和装置的选择要结合所使用的环境条件情况,环境条件包括:环境温度、相对湿度、海拔高度、地震烈度、污秽等级、风沙盐雾等,在极端或特殊环境条件下使用的电气设备和装置要有相应的防护措施;或选用满足环境条件的特种产品。
4 站址选择
4.0.1 光伏发电站的站址规划应根据国家可再生能源中长期发展规划、地区自然条件、太阳能资源、交通运输、接入电网、电力消纳、地区经济发展规划等因素全面考虑;在选址工作中,应从全局出发,正确处理与相邻农业、林业、牧业、渔业、工矿企业、城市规划、国防设施和人民生活等各方面的关系。
4.0.2 光伏发电站选址时,应结合电网接入条件、交通、运输、环境保护、地质、地震、地形、水文、气象、占地拆迁、施工以及周围工矿企业对电站的影响等条件,经综合技术经济比较后提出推荐站址的排序。
4.0.3 光伏发电站站址防洪设计应符合下列要求:
1 光伏发电站的光伏方阵区按不同规划容量所对应的防洪标准应符合表4.0.3的规定。防排洪措施宜在首期工程中按规划额定容量统一规划,分期实施。光伏发电的升压站或开关站及辅助设施区的防洪标准应符合国家现行标准《35kV~110kV变电站设计规范》GB50059和《变电站总布置设计技术规程》DL/T5056的规定。
表4.0.3 光伏方阵区的防洪标准
2 位于海滨的光伏发电站方阵区设置防洪堤(或防浪堤)时,其堤顶标高应依据本标准表4.0.3中防洪标准(重现期)的要求,应按照重现期为30年波列累计频率1%的浪爬高加上0.5m的安全超高确定。
3 位于江、河、湖旁的光伏发电站方阵区设置防洪堤时,其堤顶标高应按本标准表4.0.3中防洪标准(重现期)的要求,加0.5m的安全超高确定;当受风、浪、潮影响较大时,尚应再加重现期为30年波列累计频率1%的浪爬高。
4 在以内涝为主的地区建设光伏发电站并设置防洪堤时,其堤顶标高应按设计内涝水位加0.5m的安全超高确定;位于西北干旱地区的光伏电站,应采取应对站区内的融雪或短时暴雨的排洪措施。
5 对位于山区且有洪水威胁区域的光伏发电站,应设防山洪和排山洪的措施。
6 当光伏方阵区不设置防排洪设施时,光伏方阵区电气设备底标高和建筑物室内地坪标高应按本标准表4.0.3中防洪标准或30年一遇最高内涝水位,加上0.5m的安全超高确定;当两者有差异时,应选两者高值;当受风、浪、潮影响较大时,尚应再加重现期为30年波列累计频率1%的浪爬高。
4.0.4 光伏发电站站址选择应结合场地条件,并应符合下列要求:
1 地面光伏发电站站址宜选择在地势平坦或北高南低的场地;与建筑物相结合的光伏电站,主要朝向宜为南向或接近南向,且宜避开周边障碍物对光伏组件的遮挡。
2 利用山地建设的光伏发电站选址宜选择坡向朝南的山坡,坡度应满足施工和运行维护的安全性要求,并应结合用地属性、周边山体遮挡、冲沟等因素确定。
3 光伏方阵采用固定式基础的水上光伏发电站的站址,应依据水体底部地质条件和当地水文气象条件,结合施工、运行等因素经技术经济性比较后确定。
4 光伏方阵采用漂浮式支撑结构的水上光伏发电站的站址,应根据工程所在地的水深、水流、结冰、波浪、风速以及水位变化等自然条件,结合施工和运行的安全性和可靠性进行选择。
5 与农业、牧业和渔业相结合的光伏电站的站址,应结合当地自然条件、种植物和养殖物的生长规律和特点进行选择。
4.0.5 选择站址时,应避开空气经常受悬浮物严重污染的地区。
4.0.6 光伏发电站站址选择应避开泥石流、滑坡等地质灾害易发区。
4.0.7 在危岩、发震断裂地带、岩溶发育、采空区和地质塌陷区等地区进行选址时,应进行地质灾害危险性评估,并应采取相应的防范措施。
4.0.8 除与建筑相结合的光伏发电系统以外,光伏发电站站址选择应避让自然保护区、生态保护区和水源保护地。
4.0.9 光伏发电站站址应避让重点保护的文化遗址,不应设在有开采价值的露天矿藏或地下浅层矿区上。
站址地下深层压有文物、矿藏时,除应取得文物、矿藏有关部门同意的文件外,还应对站址在文物和矿藏开挖后的安全性进行评估。
4.0.10 光伏发电站站址选择宜利用未利用荒地,不应破坏原有水系,做好植被保护,减少土石方开挖量,并应节约用地,减少房屋拆迁和人口迁移。
4.0.11 光伏发电站站址选择应考虑电站达到规划容量时接入电力系统的出线走廊。
4.0.12 条件合适时,可在风电场内建设光伏发电站。
4.0.2 本条是站址选择的基本原则。
4.0.3 500MW及以上的光伏电站占地面积一般在10k㎡以上,为减少线缆损耗,多采用分期、分区建设升压站或开关站再进行汇集升压接入电网的建设方式。分期、分区建设的升压站或开关站电压等级多为110kV或35kV,升压汇集站送出端电压一般为220kV或330kV,对侧接入站多为500kV/750kV变电站,属于电网的枢纽变电站,电量多在省内或跨区域消纳,此类光伏电站的建设将直接影响省级或区域电网的运行,在电网中的地位较为重要。500MW以下光伏电站的最终接入变电站多为330kV及以下电压等级变电站,电量一般就近消纳,电站对电网的影响相对较小,重要性也相对较低。根据光伏电站在电网中的重要性的不同,本标准对防洪等级也进行了分级划分。
依据现行国家标准《防洪标准》GB 50201的规定,并结合光伏电站自身特点,将光伏电站防洪标准按升压站或开关站和光伏方阵区分别制定防洪标准,在保证安全的前提下,有效降低投资。如站址外侧已有永久防洪堤,则光伏发电站不需建设防洪堤,但在内涝多发地区,站址仍需考虑排内涝措施。
防洪措施可以是建设整个电站的防洪堤或区域防洪堤,也可通过提高设备基础和建筑物地坪标高来满足防洪标准,具体采用何种措施可根据项目特点通过技术经济比较后确定。光伏阵列区电气设备主要包括光伏组件、汇流箱(含就地控制器)、逆变器、就地升压变压器、就地通信柜、支架跟踪装置配电柜及驱动装置等。这些电气设备通过抬高安装标高的方式,可以解决光伏区的防洪涝问题。
4.0.4 对目前不同类型的光伏电站选址给出了基本原则要求:
地面光伏电站使用地势平坦或北高南低的场地有利于工程建设,当利用北低南高的场地时,需要充分考虑南北向的阴影遮挡影响,拉大南北间距,同时需要符合用地面积控制指标的相关政策。
与建筑相结合的光伏电站,受建筑物朝向影响,光伏组件很难朝向正南方向。根据工程经验,光伏组件在南偏东或南偏西角度不大于15°的情况下,其电量损失可以控制在1%以内,这种损失投资方一般可以接受;屋顶光伏的组件布置要同时满足装机容量以及建筑美观需要;光伏组件朝向允许一定范围的偏转角,具体可接受的偏转角范围需要通过技术经济分析后确定。建筑屋顶上的附属设施较多,站址选择时需要充分考虑这些附属设施对光伏组件的影响。
山地光伏选址时需要考虑的因素很多,首先需要明晰土地性质,避让林地等不可利用的土地;其次分析周边山体和站内山体的阴影遮挡情况,选择合理的避让范围,同时还需避让沟壑等特殊地形;最终在满足上述条件的土地范围内选择符合施工和运维安全要求的站址区域。主导坡向朝南的山坡有利于紧凑地布置光伏组件,节约土地,降低投资成本,减少线缆损耗,提高收益。
采用固定式基础的水上光伏发电站,其水体底部地质条件、水文气象条件、施工条件、运行条件对投资成本影响极大,项目选址时需重点考虑。漂浮式水上光伏发电站的光伏方阵需要锚索固定在水体底部,锚索设计及延伸至岸边的电缆及检修通道的设计方案与水深、水流、风速、水位变化情况都息息相关,同时在有水面结冰的情况时,浮体结构和材料还需要具备抗冰冻、抗冰凌的能力。
与农业、牧业和渔业相结合的光伏电站选址,不能改变土地用地属性,电站设计时首先要满足农业、牧业和渔业的生产需要,其次考虑的才是电站发电功能,因此选址时需要充分考虑当地的自然条件、种植物和养殖物的生产规律和特点。
4.0.7 目前国内在岩溶发育、采空区和地质塌陷区已有光伏电站的实际建设经验,现场反馈情况良好,因此在危岩、发震断裂地带、岩溶发育、采空区和地质塌陷区建设光伏电站时,通过地质灾害危险性评估并采取相应措施后可作为光伏电站场址。
4.0.8 按照《在国家级自然保护区修筑设施审批管理暂行办法》(国家林业局第50号令),禁止在国家级自然保护区内修筑风力发电、光伏发电、火力发电等项目的设施。国家级自然保护区内一般建有服务于自然保护区的设施,在这些设施上建设分布式光伏发电系统,主要为这些设施提供用电服务,可以视为设施的一个组成部分或它的配套设备。
4.0.10 本条根据合理利用土地、节约用地、避免对自然环境和社会环境造成重大影响的原则,对站址选择提出的要求。
4.0.12 在风电场内建设光伏发电站时,需要就光伏阵列布置对地面粗糙度的影响、风机塔筒对光伏阵列的遮挡影响等进行综合分析。
5 太阳能资源分析
5.1 一般规定
5.1.1 光伏发电站设计应对站址所在地的区域太阳能资源基本状况进行分析,并对相关的地理条件和气候特征进行适应性分析。
5.1.2 太阳能资源分析时,应选择距离站址最近,且有太阳辐射长期观测记录的地面观测站作为参考气象站。当地面观测站与站址之间空间代表性不满足要求时,还应选择站址附近具备日照时数观测记录的观测站作为参考气象站。
5.1.3 大型光伏发电站建设前期宜先在站址所在地设立太阳辐射现场观测站。当利用现场观测数据进行太阳能资源分析时,现场观测数据应连续、完整,记录数据至少应为小时值,且不应少于一个完整年。
5.1.4 光伏发电站太阳能资源分析应符合现行国家标准《太阳能资源评估方法》GB/T37526的规定。
5.1.1 光伏发电站设计首先需要分析站址所在地区的太阳能资源概况,并对该地区太阳能资源的丰富程度进行初步评价,同时分析相关的地理条件和气候特征,为站址选择和技术方案初步确定提供参考依据。
5.1.2 当参考气象站能符合本标准第5.2.2条规定的空间代表性要求时,可收集该参考气象站的长序列太阳辐射实测数据用作太阳能资源分析,这种用作太阳能资源分析的数据常被称为辐射观测参考气象站长序列实测数据。若光伏发电站址附近没有符合空间代表性的地面辐射观测气象站,可按照现行国家标准《太阳能资源评估方法》GB/T37526给出的方法,先计算辐射观测参考气象站的太阳辐射实测数据的经验系数,再将附近满足空间代表性要求,且具备长序列日照时数观测的气象站作为参考站,来计算场址的逐月水平面总辐照量,这种用作太阳能资源分析的数据常被称为参考气象站长序列计算数据。
5.1.3 目前在我国有太阳辐射长期观测记录的气象站只有近百个,实际覆盖面积较小,尤其是在我国西北地区,大多数情况下辐射观测参考气象站距光伏发电站较远,不能精确反映站址所在地实际的太阳能资源状况。对于中小型光伏发电站,由于其规模小,各种影响相对较小,可以利用参考气象站的长序列计算数据、格点化长序列计算数据进行太阳能资源分析。但大型光伏发电站,由于规模较大,太阳能资源分析结果无论是对项目本身的投资收益还是对电力系统的影响都比较大,因此,在大型光伏发电项目建设前期推荐先在站址所在地设立太阳辐射现场观测站,再利用现场观测数据和参考气象站的同期和长序列观测数据来修正得到站址区域较为精确的代表年太阳能资源数据。
5.2 参考气象站基本条件和数据采集
5.2.1 参考气象站应具有连续10年以上的太阳辐射长期观测记录。
5.2.2 参考气象站与光伏发电站站址所在地的气候特征、地理特征应基本一致;参考气象站与光伏发电站站址距离不宜超过100km。
5.2.3 参考气象站的辐射观测资料与光伏发电站站址现场太阳辐射观测装置的同期辐射观测资料应具有较好的相关性。
5.2.4 参考的气象站采集的信息宜包括下列内容:
1 气象站长期观测记录所采用的标准、辐射仪器型号、安装位置、高程、周边环境状况,以及建站以来的站址迁移、辐射设备维护记录、周边环境变动等基本情况和时间。
2 最近连续10年以上的逐年各月的总辐射量、直接辐射量、散射辐射量、日照时数的观测记录,且与站址现场观测站同期至少一个完整年的逐小时的观测记录。
3 最近连续10年的逐年各月日照时数、日照百分率。
4 近30年来的多年月平均气温、极端最高气温、极端最低气温、昼间最高气温、昼间最低气温。
5 近30年来的多年平均风速、多年极大风速及发生时间、主导风向,多年最大冻土深度和积雪厚度,多年年平均降水量和蒸发量。
6 近30年来的连续阴雨天数、雷暴日数、冰雹次数、沙尘暴次数、强风次数等灾害性天气情况。
5.2.1 在我国西北地区,由于具有连续10年以上太阳辐射长期观测记录的气象站较少,往往距站址最近的参考气象站也都比较远,故当有太阳辐射长期观测记录的气象站距站址较远时,可考虑选择站址周边两个及以上的气象站作为参考气象站。
5.2.2 本条是对参考气象站空间代表性上的要求,参考气象站与项目所在地要属于同一气候区,两者距离不超过100km;对地理、气象环境复杂地区,两者之间地理、气候特征还要无明显差异。
5.2.4 本条所列出要收集的参考气象站的观测资料,资料内容除了要满足光伏发电站太阳能资源分析以外,还要满足工程建设方案设计需要。其中用于太阳能资源分析的参考气象站的观测要素和太阳能资源评估方法密切相关,需要根据评估方法合理选择所收集资料的具体内容,最近连续10年以上的最近一年至少不早于前年。
4~6 为一般气象资料,如参考气象站距站址较远,则需要收集站址附近气象站的相关数据。
5.3 太阳辐射现场观测站基本要求
5.3.1 太阳能辐射现场观测站的选址、数据测量、测量设备选型与校验、仪器安装与维护、测量数据采集、传输、保存与整理应符合国家现行标准《太阳能资源测量 总辐射》GB/T31156、《太阳能资源测量 直接辐射》GB/T33698、《太阳能资源测量 散射辐射》GB/T33699、《地面气象观测规范 辐射》GB/T35231和《光伏发电站太阳能资源实时监测技术规范》NB/T32012的规定。太阳辐射现场观测站的观测要素应包括水平面总辐射、日照时数、环境温度、风速、风向等的数据。
5.3.2 对于按最佳固定倾角布置光伏方阵的大型光伏发电站,宜增设在设计确定的最佳固定倾角面上的日照辐射观测项目。
5.3.3 对于有斜单轴或平单轴跟踪装置的大型光伏发电站,宜增设在设计确定的斜单轴或平单轴跟踪受光面上的日照辐射观测项目。
5.3.4 对于采用双面发电光伏组件的大型光伏发电站,可结合光伏方阵安装方案,设置光伏组件背面的总辐射观测项目。
5.3.5 现场观测数据宜实时传送,并接入光伏发电站监控系统。
5.3.1 现场观测站的观测装置包括日照辐射表、测温探头、风速传感器、风向传感器、控制盒等。观测装置的安装位置需要视野开阔,且在一年当中日出和日没方位不能有大于5°的遮挡物。
5.3.2 增设该观测项目的是为了实时观测光伏组件在最佳固定倾角面受光条件下的太阳总辐射量及变化,便于更好地分析光伏发电系统的运行特性和主要设备的工作状况。
5.3.3 增设该观测项目的目的是为了实时观测光伏组件在斜单轴或平单轴跟踪面受光条件下的太阳总辐射量及变化,便于更好地分析光伏发电系统的运行特性和主要设备的工作状况。
5.3.4 与常规光伏组件相比,双面光伏组件具有背面也能接收地面反射太阳光发电的特点,双面光伏组件背面接收的太阳辐射受地表反射率、光伏阵列倾角、入射光的直散分布、太阳高度角、光伏阵列前后排间距及双面光伏组件安装位置(高度及朝向)等因素影响;甚至同一块双面组件背面不同部位接收到的太阳辐射也可能存在差异,因此,难以选取单一具有代表性的双面组件背面总辐射观测项目的测量位置;最后,正面与背面分别接收的太阳光存在光谱差异,除夏季太阳从东北面升起后、西北面落下前的一小段时间内,绝大多数工作时间内,双面光伏组件背面接收到太阳辐照度远低于其正面接收值。基于以上原因,设置光伏组件背面的总辐射观测项目目的在于为双面组件的发电机理研究、量化建模提供实测数据积累。
5.4 太阳辐射观测数据验证与资源分析
5.4.1 对太阳辐射观测数据应进行完整性检验,观测数据应符合下列要求:
1 观测数据的实时观测时间顺序应与预期的时间顺序相同。
2 按某时间顺序实时记录的观测数据量应与预期记录的数据量相等。
3 小时值的有效数据完整率不应低于95%,且连续缺测时间不宜超过3d。
5.4.2 对太阳辐射观测数据应依据日天文辐射量等进行合理性检验,观测数据应符合下列要求:
1 水平面总辐射最大辐照度,平原地区应小于1400W/㎡,高山、高原或地表反射较强地区应小于1600W/㎡。
2 散射辐射数值小于总辐射数值,水平面总辐射最小辐照度白天不应小于0。
3 日水平面总辐照量应小于最大可能的日水平面总辐照量,最大可能的日水平面总辐照量应符合本标准附录A的规定。
5.4.3 太阳辐射观测数据经完整性和合理性检验后,其中不合理和缺测的数据应修正,并补充完整。不合理和缺测数据的插补方法应符合现行国家标准《太阳能资源评估方法》GB/T37526的规定。
5.4.3A 光伏发电站太阳能资源分析应利用10年及以上的长序列数据,长序列数据宜采用辐射观测参考气象站长序列实测数据或参考气象站长序列计算数据,也可采用格点化长序列计算数据。当太阳能资源分析利用站址现场实测短期观测数据时,应利用辐射观测参考气象站的长序列数据进行代表年数据修正。
5.4.4 光伏发电站太阳能资源分析宜包括下列内容:
1 长时间序列的年总辐照量变化和月总辐照量年际变化,以及年日照数变化。
2 代表年的年水平面总辐照量和月水平面总辐照量。
3 各月典型日辐射量小时变化。
4 站址区域太阳能资源特征和丰富程度。
5.4.5 太阳能资源分析时,应依据代表年水平面总辐射量预测值进行光伏方阵阵列面上的代表年各月总辐照量和年总辐照量的预测。
5.4.1 实测数据记录时,由于设备故障、断电等原因,有时会出现数据缺测或记录偏差,因此,需进行实测数据完整性和合理性检验。数据完整率计算,可按照下式进行计算:

5.4.2 实测数据记录时,由于一些特殊原因,有时会产生不合理的无效数据,因此,需进行实测数据合理性检验。
总辐射最大辐照度一般小于太阳常数1367W/㎡±7W/㎡,由于云层的作用,观测到的瞬间最大辐照度也可能超过太阳常数,但若大于一定值时则可判定该数据无效。白天水平面总辐射强度一般都大于0,如果出现0时,基本上都是由于设备故障引起的。
5.4.3 缺测数据的填补可借助其他相关数据,采用插补订正法、线性回归法、相关比值法等进行处理。
5.4.3A 光伏发电站太阳能资源分析用的长序列数据包括辐射观测参考气象站长序列实测数据、参考气象站长序列计算数据和格点化长序列计算数据。格点化长序列计算数据是基于卫星遥感反演、数值模拟或其他方法,来计算得到一定区域内的格点化长序列太阳辐照量数据。太阳能资源分析采用格点化长序列计算数据时,数据的准确性要符合现行国家标准《太阳能资源数据准确性评判方法》GB/T34325的规定。从数据精确度方面看,三种数据的优先级顺序为:辐射观测气象站长序列实测数据、参考气象站的长序列计算数据、格点化长序列计算数据。
太阳能资源分析时无论是利用参考气象站观测数据还是现场短期实测数据,都要进代表年的数据修正,修正方法要符合现行国家标准《太阳能资源评估方法》GB/T37526的规定。
5.4.4 在光伏发电站设计中,电站太阳能资源代表年的资源数据是预测光伏发电站在运营期内发电量、确定光伏方阵安装方式、固定式光伏方阵的最佳倾角和倾角可调式光伏方阵的调节范围及调节策略等的依据。
5.4.5 通常参考气象站记录的太阳辐射观测数据是水平布置日照辐射表接受到的数据,以此预测的电站设计使用年限内的平均年总辐射量也是水平日照辐射表的数据。当光伏方阵采用不同布置方式时,需进行折算。但这种计算比较复杂,通常可采用软件计算。
6 光伏发电系统
6.1 一般规定
6.1.1 大、中型集中式光伏发电站的发电系统宜采用多级汇流、分散逆变、集中并网方式;分散逆变后宜就地升压,升压后集电线路回路数及电压等级应经技术经济比较后确定。分布式光伏发电站的发电系统宜采用分散逆变、就地并网方式。
6.1.1A 大、中型光伏发电站的发电单元的容量应结合直流侧电压等级、光伏组件和逆变器的选型,经技术经济比较后确定。大、中型光伏发电站宜选用直流侧高电压系统和大容量发电单元方案。
6.1.2 当光伏方阵所在场地起伏较大、光伏阵列易受遮光影响、组件布置倾角和朝向不同时,光伏发电系统宜选择具有多路最大功率点跟踪功能的逆变设备。光伏发电系统中,逆变器同一个最大功率点跟踪回路接入的光伏组件串的电压、组件朝向、安装倾角、阴影遮挡影响等宜一致。
6.1.3 光伏发电系统直流侧的设计电压应高于光伏组件串在当地昼间极端气温下的最大开路电压,系统中所采用的设备和材料的最高允许电压应不低于该设计电压。
6.1.4 光伏发电系统中光伏组件与接入逆变器之间的容量配比应综合考虑光伏方阵的安装方式、场地条件、太阳能资源、各项损耗等因素,经技术经济比较后确定。光伏组件的安装容量与逆变器额定容量之比应符合下列规定:
1 年水平面总辐照量不小于6300MJ/㎡的地区,不宜超过1.3。
2 年水平面总辐照量小于6300MJ/㎡且不小于5040MJ/㎡的地区,不宜超过1.5。
3 年水平面总辐照量小于5040MJ/㎡的地区,不宜超过1.8。
4 配置储能的光伏发电系统,应根据光伏系统与储能系统的耦合方式,在满足功能需求的前提下,经技术经济比较后确定。
6.1.5 光伏组件串的最大功率工作电压变化范围应在逆变器的最大功率跟踪电压范围内。
6.1.6 离网光伏发电系统的安装容量应根据负载特性、当地太阳能资源条件、环境条件和储能系统特性等来确定。
6.1.7 光伏方阵设计应便于光伏组件表面的清洗,当站址所在地的大气环境较差、组件表面污染较严重且又无自洁能力时,应设置清洗系统或配置清洗设备。
6.1.1A 光伏发电系统直流侧电压有从低电压向高电压发展的趋势。直流侧电压采用高电压等级设计,可以增大发电单元容量,减少组串、汇流箱、逆变器和升压变压器数量以及电缆等材料量,有助于降低发电损耗,减少工程造价,从而提高了工程经济性。
6.1.2 具有多路最大功率点跟踪(MPPT)功能的逆变设备主要有组串式逆变器、带多路最大功率点跟踪的集中式逆变器以及集散式逆变器等。接入同一MPPT回路的光伏电池组件串的电压要尽可能一致,故要求对应的光伏组串朝向、安装倾角、阴影遮挡也要尽量一致。对集散式逆变器,其最大功率点跟踪功能设置在组串汇流箱内。
6.1.4 由于光伏组件在电站寿命周期内功率是逐年衰减的,以及大部分情况下太阳辐照度都小于组件标准辐照强度,另外光伏发电系统从组件到逆变器存在各项损耗,所以通常情况下逆变器输出功率不能达到所对应的组件的安装容量值,导致逆变器及升压并网设备的容量不能得到充分利用,因此提出在光伏发电系统设计时光伏组件安装容量相对逆变器额定输出容量的配比优化要求。随着光伏组件价格不断下降,光伏组件与逆变器之间容量配比值有逐渐增加的趋势,但为了对建设场地的土地资源、太阳能资源的有效利用,防止资源不必要的浪费,光伏方阵的安装容量与逆变器额定输出容量之比也不适合过大。
本条中不同地区年水平面太阳辐照量分类阈值的选取与现行国家标准《太阳能资源评估办法》GB/T37526中太阳能资源丰富等级的分级标准相对应。对双面发电光伏组件,容量配比研究时要考虑其背面发电增量效果。
6.1.5 为了提高光伏发电系统输出效率,计算光伏组件串中组件数量时,需考虑光伏组件的工作温度和工作电压温度系数,由环境温度变化等引起的光伏组件串工作电压的变化范围需在逆变器的最大功率跟踪电压范围之内。
6.1.6 离网光伏发电系统的安装容量选择时除了考虑负载所需电能和当地太阳能资源条件以外,还需考虑储能系统充放电效率和影响光伏系统发电量的气象环境条件。
6.1.7 当光伏组件表面受到污染时,其发电效率会大幅下降;同时,组件表面局部污染会产生热斑效应,影响光伏组件使用寿命。鉴于以上原因,光伏发电站需设置清洗系统或配置清洗设备,对光伏组件表面进行定期清洗。当环境对组件表面有较好的自洁作用(如有频繁的雨水冲刷,且组件布置倾角较大)时,可不考虑清洗。
6.2 光伏发电系统分类
(此节删除)
6.3 主要设备选择
6.3.1 (此条删除)
6.3.2 光伏组件应根据类型、标称功率、转换效率、发电系统电压、温度系数、组件尺寸和重量、功率辐照度特性和使用环境等条件进行选择。
6.3.3 在湿热环境下工作的光伏发电站,宜选择具备抗电势诱导衰减的光伏组件。当采用不具备抗电势诱导衰减的光伏组件时,光伏发电系统宜采取抗电势诱导衰减的措施。
6.3.4 光伏组件选型应符合下列要求:
1 根据太阳辐照量、气候特征、场地条件等因素,应经技术经济比较后确定。
2 当光伏组件安装场地的反光性能较好时,宜选用双面发电组件。
3 轻型结构屋顶和异形屋面上安装的光伏方阵,可选用柔性或其他轻质光伏组件。
4 在与建筑相结合的光伏发电系统中,宜选用与建筑结构相协调的光伏组件。建材型的光伏组件,应符合相应建筑材料或构件的技术要求。
5 与农业、牧业和渔业相结合的光伏发电系统中,当常规光伏组件不能满足种植物和养殖物的光照需求时,可考虑选择透光型组件。
6 宜选用高转换效率的光伏组件。
6.3.5 用于并网光伏发电系统的逆变器性能应符合现行国家标准《光伏发电并网逆变器技术要求》GB/T37408的规定。
6.3.6 逆变器应按型式、容量、相数、频率、冷却方式、功率因数、过载能力、温升、效率、输入输出电压、最大功率点跟踪(MPPT)、保护和监测功能、通信接口、防护等级等技术条件进行选择。
6.3.7 逆变器、汇流箱等设备选择应满足安装所在地的环境温度、相对湿度、风沙、盐雾、海拔高度、地震烈度等使用条件。
6.3.8 (此条删除)
6.3.9 海拔高度在2000m及以上高原地区使用的逆变器和汇流箱,应选用高原型(G)产品或按现行国家标准《低压系统内设备的绝缘配合 第1部分:原理、要求和试验》GB/T16935.1、《光伏发电并网逆变器技术要求》GB/T37408和《光伏发电站汇流箱技术要求》GB/T34936的规定进行校验。
6.3.10 光伏组串汇流箱应依据型式、电压、防护等级、输入回路数、输入输出额定电流等技术条件进行选择,并符合现行国家标准《光伏发电站汇流箱技术要求》GB/T34936的规定。
6.3.11 大、中型光伏发电站中光伏组串汇流箱宜选用智能型,并具备智能监控和数据通信功能。
6.3.12 汇流箱应具有下列保护功能:
1 应设置防雷保护装置。
2 汇流箱的输入回路宜具有防逆流及过流保护;对于多级汇流光伏发电系统,如果前级已有防逆流保护,则后级可不做防逆流保护。
3 汇流箱的输出回路应具有隔离保护措施。
4 宜设置监测装置。
6.3.13 室外布置的逆变器、汇流箱应有防腐、防锈、防暴晒等措施,箱体或柜体的防护等级不应低于IP54。
6.3.14 建筑光伏发电系统直流侧电弧保护的设置应符合现行国家标准《光伏发电系统直流电弧保护技术要求》GB/T39750的规定,故障电弧保护装置可与逆变器、直流汇流箱相结合。
6.3.3 研究表明,潮湿、高温、高电压等是光伏组件发生电势诱导衰减(PID)的主要外部诱因,随着光伏发电系统直流侧电压等级提高,已有部分光伏发电站的组件出现电势诱导衰减现象,因此光伏组件制造厂家已改进制造工艺,使组件具备考虑抗PID特性,并通过相关认证。光伏发电系统中常用的防PID措施有逆变器直流侧负极接地、虚拟接地、施加反向电压等。
6.3.4 目前常用的组件有晶硅类和薄膜类组件。晶硅类主要有单晶硅和多晶组件,采用刚性结构;薄膜类主要以非晶薄膜组件为主,可采用刚性结构,也可采用柔性结构。对于轻型结构屋顶,承载能力有限时,可以选用柔性薄膜等轻质结构组件。
随着技术逐渐成熟和对经济效益的有效提升作用,双面发电组件开始得到广泛应用,选用双面发电组件时,推荐在反光率较好的场地优先使用,以充分发挥其性能。
与农业、牧业和渔业设施相结合的光伏发电系统中,可采用常规光伏组件与透光材料间隔布置等方式来增加透光率,如果还不能满足要求,可考虑选择透光型组件。
6.3.7 逆变器、汇流箱等设备要满足所在场地环境条件的要求,特别是在湿热带、工业污秽严重和沿海地区使用的逆变器、汇流箱等电器,要考虑潮湿、污秽及盐雾的影响。
6.3.9 现行国家标准《特殊环境条件 高原用低压电器技术要求》GB/T20645适用于安装在海拔2000m以上至5000m的低压电器,该电器用于连接额定电压交流不超过1000V或直流不超过1500V的电路,逆变器属于此范畴。该规范对在高原区域使用低压电器的绝缘介质强度、温升、开关电器灭弧能力和脱扣性能作了规定。该规范未对降容进行规定。目前市场上逆变器尚无比较一致的降容标准,故逆变器在高于海拔2000m的高原地区使用时,需根据其产品情况给出容量修正系数或降容曲线。
6.3.11 大、中型光伏发电站占地面积大,运行方式主要为少人值守或无人值班。在汇流箱上选用智能型,可以更快、更准确的了解光伏阵列的运行信息。
6.3.12 光伏发电站占地面积大,运行方式主要为少人值守或无人值班。在汇流箱上设置监测装置,可以更快、更准确的了解光伏阵列的运行信息。目前汇流箱监测内容主要包括电压和电流。
6.3.14 当建筑光伏发电系统的直流侧最大系统电压大于或等于80V时,通过设置直流电弧保护可以提高光伏发电系统建筑的安全性。电弧保护装置与逆变器、直流汇流箱等设备组合配置,可以简化光伏发电系统,提高保护可靠性。
6.4 光伏方阵
6.4.1 光伏方阵可分为固定式、倾角可调式和跟踪式三类,应根据太阳能资源、气象条件、使用环境、安装容量、安装场地面积和特点、负荷特性和运行管理方式等因素,经技术经济比较后确定。
6.4.2 光伏方阵中,同一光伏组件串中各光伏组件的电性能参数宜保持一致,光伏组件串的串联数应按下列公式计算:

式中:
Kv——光伏组件的开路电压温度系数;
Kv′——光伏组件的工作电压温度系数;
N——光伏组件的串联数(N取整);
t——昼间环境下光伏组件的极限低温(℃);
t’——工作状态下光伏组件的电池极限高温(℃);
Vdcmax——逆变器和光伏组件允许的最大系统电压,取两者小值(V);
Vmpptmin——逆变器MPPT电压最小值(V);
Voc——光伏组件的开路电压(V);
Vpm——光伏组件的最佳工作电压(V)。
6.4.3 光伏方阵采用固定式或倾角可调式布置时,方阵倾角应结合站址当地的太阳能资源、风速、雨水、积雪等条件进行选择,并应符合下列要求:
1 对于场地可利用面积不受限制,且土地成本较低的并网光伏发电系统,倾角选择宜使光伏方阵单位安装容量的全年发电量最大。
2 对于离网光伏发电系统,倾角宜使光伏方阵的发电输出功率与用电负荷匹配,并应满足全年各月用电量需求。
3 对于场地可利用面积受限或土地成本较高的并网光伏发电站,应根据工程建设场地条件和安装容量需求,经技术经济比较后确定光伏方阵的设计倾角和阵列间距。
6.4.1 跟踪式光伏方阵又可分为平单轴跟踪、斜单轴跟踪和双轴跟踪三种,一般来说,当安装容量相同时,固定式、倾角可调式、平单轴跟踪、斜单轴跟踪和双轴跟踪的发电量依次递增,但其占地面积也同时递增。倾角可调式光伏方阵是根据太阳高度角季节变化对组件倾角进行调节,进而增加光伏发电站综合收益。
6.4.2 同一光伏组件串中各光伏组件的电流若不保持一致,则电流偏小的组件将影响其他组件,进而使整个光伏组件串电流偏小,影响发电效率。
为了达到技术经济最优化,地面光伏发电站一般采用最大组件串数设计,此时只需用6.4.2公式计算即可。与建筑相结合的光伏发电系统,经常不用最大组件串数设计,此时需要结合6.4.2公式得出光伏组件串数的范围,再结合光伏组件排布、直流汇流、施工条件等因素,进行技术经济比较,合理设计组件串数。组件工作电压温度系数Kv′很难测量,如果组件厂商无法给出,可采用组件开压温度系数Kv值替代。
6.5 储能系统
6.5.1 离网光伏发电站应配置储能装置,并满足向负载提供持续、稳定电力的要求。并网光伏发电站可根据功能需求和技术经济的合理性来配置储能系统。
6.5.2 离网光伏发电站的储能系统容量配置应根据当地太阳能资源、气象条件、光伏方阵安装容量、负载用电负荷、连续阴雨天的供电保证、电池充放电效率、电池使用环境温度以及电池设计寿命期容量衰减等因素后确定。
6.5.3 用于光伏发电站的储能电池宜选用电化学储能电池作为储能载体,电化学储能电池宜根据储能效率、循环寿命、能量密度、功率密度、响应时间、环境适应能力、充放电效率、自放电率、深放电能力等技术条件,经技术经济比较后确定。电化学储能电池应符合现行国家标准《电力储能用锂离子电池》GB/T36276和《电力储能用铅炭电池》GB/T36280的规定。
6.5.3A 离网光伏发电系统与储能装置之间宜采用直流耦合接线方式;并网光伏发电系统与储能装置之间连接方式宜选用交流耦合接线方式,也可选用直流耦合接线方式。
6.5.3B 并网光伏发电系统与储能装置之间采用交流耦合时,储能系统的配置和设备选择应符合现行国家标准《电化学储能电站设计规范》GB51048、《电力系统电化学储能系统通用技术条件》GB/T36558和《电化学储能系统储能变流器技术规范》GB/T34120的规定。
6.5.3C 离网光伏发电系统的储能电池和逆变器的选型配置应满足用电负载中最大用电设备的启动工况。
6.5.4 光伏发电站储能系统应配置电池管理系统,电池管理系统与光伏发电站的监控系统应实现通信连接和信号交换。并网光伏发电系统储能装置的电池管理系统和通信配置应符合现行国家标准《电力系统电化学储能系统通用技术条件》GB/T36558和《电化学储能电站用锂离子电池管理系统技术规范》GB/T34131的规定。
6.5.5 (此条删除)
6.5.6 (此条删除)
6.5.7 (此条删除)
6.5.8 (此条删除)
6.5.9 (此条删除)
6.5.10 光伏发电系统储能装置的能量管理系统应接入光伏发电站的监控系统中。
6.5.1 离网光伏发电站配置储能装置的目的是为了满足向负载提供持续、稳定电力的需求;并网光伏发电站配置储能装置的目的是为了改善光伏发电系统输出特性,包括平滑输出功率曲线、跟踪计划出力曲线、电力调峰、系统调频等。由于配置储能设备会增加投资,故配置前要考虑技术经济的合理性。
6.5.2 离网光伏发电站配置储能系统的目的主要是在无太阳光照时满足负载用电需求,以及在有太阳光照时平衡光伏发电系统输出功率与用电负荷之间不匹配。由于储能系统单位造价较高,连续阴雨天的电能需求要综合考虑供电保证率和其他备用电源(如柴油发电机等)的配置情况后确定。如果储能电池使用环境温度与设备标准使用温度相差较大时,需要考虑电池容量的温度折减。
6.5.3 由于电化学储能系统结构简单,运维方便,经济可靠,光伏发电站选用电化学储能电池作为储能载体有较好技术经济性。国内电化学储能电池常用的有锂离子电池、铅酸电池、液流电池等,不同类型的储能电池的技术经济性能差异较大,选用时需要进行比选。
6.5.3B 并网光伏发电系统采用交流耦合的储能系统由电池、变流器、电池管理系统等组成,储能系统配置、技术性能和安全性要求要符合现行国家相关标准要求。
6.5.3C 当离网光伏发电系统单个供电负载用电功率较大时,启动瞬间电压和电流会有冲击性波动,储能电池和逆变器性能参数和保护配置要满足该启动工况。
6.6 发电量计算
6.6.1 光伏发电站发电量预测应根据站址所在地的太阳能资源情况,并考虑光伏发电站系统设计、光伏方阵布置和环境条件等各种因素后计算确定。
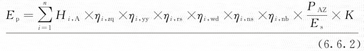
6.6.2 光伏发电站上网电量可按下式计算:

式中:
n——计算时段数,对于一个完整计算年,若按1小时间隔计算,则为8760;
Hi,A——计算时段水平面太阳总辐照量(kW·h/㎡);
ηi,zq——计算时段光伏方阵太阳辐照量倾角、方位角修正系数;
ηi,yy——计算时段光伏方阵太阳辐照量阴影遮挡损失修正系数;
ηi,rs——计算时段光伏组件表面太阳入射角损失修正系数;
ηi,wd——计算时段光伏组件工作温度修正系数;
ηi,ns——计算时段逆变器输入功率限制引起的发电量损失修正系数,如果该时段逆变器没有功率限制,取1;
ηi,nb——计算时段太阳辐照条件下的逆变器输入功率对应的转化效率;
Ep——上网发电量(kW·h);
Es——标准条件下的辐照度(常数=1kW·h/㎡);
PAZ——组件的安装容量(kWp);
K——其他效率系数。其他效率系数K包括:光伏组件类型修正系数、光伏发电系统可用率、光伏组件输出功率偏离峰值、组串适配损失、光伏组件衰减、集电线路损耗、升压变压器损耗、光伏组件表面污染、站用电率等修正系数。
6.6.3 采用双面发电光伏组件的光伏系统在发电量计算时,应同时按照组件背面的光电转换特性计算光伏组件背面所受到辐照量。
6.6.4 光伏发电系统效率可按下式计算:

式中:
PR——光伏发电系统效率(%);
GA——光伏阵列面太阳总辐照量(kW·h/㎡)。
6.6.5 光伏发电综合效率可按下式计算:

式中:
CPR——光伏发电综合效率(%);
HA——水平面太阳总辐照量(kW·h/㎡)。
6.6.2 光伏发电站上网电量计算中:
(1)考虑组件类型修正系数是由于光伏组件的转换效率在不同辐照度、波长时不同,该修正系数应根据组件类型和厂家参数确定,一般晶体硅电池可取1.0。
(2)光伏方阵的倾角、方位角的修正系数是计算时段内将水平面太阳能总辐射量转换到光伏方阵陈列面上的折算系数,根据组件的安装方式,结合站址所在地太阳能资源数据及纬度、经度,进行计算。
(3)光伏发电系统可用率η为:

(4)由于障碍物对光伏方阵上的太阳光造成遮挡或光伏方阵各阵列之间的互相遮挡,对太阳能资源利用会有影响,因此在计算时要考虑因阴影遮挡引起的发电量损失修正系数。
(5)在不同计算时段,由于阵列面上辐照强度变化,逆变器输入功率也不同,逆变器效率也不相同,因此逆变器效率是指计算时段逆变器输入功率所对应的转化效率。对于早晚太阳辐照较弱的时间段内,当组串输出电压低于逆变器启动电压时,逆变器转化效率为0。逆变器不同输入功率所对应的转化效率数据可以根据厂家参数确定。如果计算时段内存在光伏方阵单元的输出功率大于逆变器的最大直流输入功率情况,还要考虑逆变器输入功率限制导致的发电量损失修正系数。
(6)集电线路、升压变压器损耗系数包括光伏方阵至逆变器之间的直流电缆损耗、逆变器至计量点的交流电缆损耗,以及升压变压器损耗。
(7)光伏组件表面污染修正系数是指光伏组件表面由于受到灰尘或其他污垢蒙蔽而产生的遮光影响。该系数的取值与环境的清洁度和组件的清洗方案有关。
(8)由于本次标准修编提出了光伏方阵安装容量和逆变器的额定输出容量优化配比要求,可能会发生某些时刻由逆变器输入功率限制引起的发电量损失,而且各时刻损失量也并不完全相同,因此为提高计算准确性,发电量计算一般按照不大于1h间隔进行逐时计算。计算时段内的计算参数数值可用平均值或中间值代替。
(9)公式中带下标i的系数,均为与时间有关的修正系数,因每时每刻都在变化,因此需要按照时间段分别进行计算。除此之外,与时间关系不密切的影响因素的修正系数,统一用其他修正系数K来表示,包括:光伏组件类型、光伏组件输出功率偏离峰值、光伏组件表面污染、组串适配损失、光伏组件衰减、集电线路损耗、升压变压器损耗、站用电率、系统可利用率等各种因素,各项系数需通过乘积得到其他效率系数K。
(10)由于光伏发电量计算涉及影响因素较多,手工计算较为复杂,可采用专用发电量计算软件进行计算。
6.6.3 双面发电光伏组件背面所受到辐照量与组件安装高度、安装倾角以及周围地面反射情况有关,不同地面状态的反射率可参照表1A。

续表A

6.6.5 光伏发电系统效率没有体现光伏方阵安装方式对太阳能资源利用的影响,包括跟踪系统、阵列安装倾角、安装方位角等。光伏发电综合效率是体现光伏发电站在整个发电过程中将水平面太阳总辐照量有效利用的相对性系数,包含了光伏方阵安装方式等因素,能较全面地体现光伏发电站对当地太阳能资源的有效利用。
由于光伏系统最终发电量受到组件衰减、温度等因素影响,系统效率、综合效率会随建成后时间周期段不同存在差异,因此论述系统效率、综合效率时要有时间周期定义。
6.7 跟踪系统
6.7.1 跟踪系统应符合现行国家标准《光伏电站太阳跟踪系统技术要求》GB/T29320的规定。
6.7.2 跟踪系统宜采用主动跟踪,且宜采用闭环控制方式,位置反馈信号采集宜采用角度传感器,跟踪效果反馈信息宜采用对应组串的实时功率或电流信号。
6.7.3 跟踪系统的设计应符合下列要求:
1 跟踪系统的支架应根据不同地区特点采取相应的防护措施。
2 跟踪系统宜有通讯端口。
3 在跟踪系统的运行过程中,光伏方阵组件串的最下端与地面的距离不宜小于300mm。
6.7.4 跟踪系统的选择应符合下列要求:
1 跟踪系统的选型应结合安装地点的环境情况、气候特征、太阳能资源、场地条件等因素,经技术经济比较后确定。
2 水平单轴跟踪系统宜安装在低纬度地区。
3 倾斜单轴和斜面垂直单轴跟踪系统宜安装在中、高纬度地区。
4 双轴跟踪系统宜安装在中、高纬度地区。
5 容易对传感器产生污染的地区不宜选用被动控制方式的跟踪系统。
6 宜具备在紧急状态下通过远程控制将跟踪系统的角度调整至受风最小位置的功能。
7 单轴跟踪的可转动范围宜为-45°~+45°。
8 跟踪系统应具备防阴影遮挡的自动反向跟踪控制功能。
9 控制系统户外布置时防护等级不应低于IP54。
10 跟踪系统支撑结构部分的转动轴承应满足长期户外使用条件,其使用寿命应与电站设计寿命相同。
11 跟踪系统驱动装置应满足长期户外使用条件,维护、更换简便,防护等级不应低于IP54。
12 跟踪系统宜设置减震措施,在可耐受风速和积雪条件下,工作和保护状态时的支架结构应稳定可靠。
6.7.5 跟踪系统的跟踪精度应符合下列规定:
1 单轴跟踪系统跟踪精度不应低于±3°。
2 双轴跟踪系统跟踪精度不应低于±2°。
3 (此款删除)
4 (此款删除)
6.7.1 光伏发电的跟踪系统一般可分为单轴跟踪系统和双轴跟踪系统,而单轴跟踪系统又可分为水平单轴、倾斜单轴和斜面垂直单轴三种,且倾斜单轴的倾斜角度可根据实际情况有不同的取值。
6.7.2 跟踪系统控制方式分为主动式、被动式和复合式。主动控制方式是指根据地理位置和当地时间实时计算太阳光的入射角度,通过控制系统使太阳电池方阵调整到指定位置。又称为天文控制方式或时钟控制方式。
被动控制方式是指通过感应器件测量出太阳光的入射角度,从而控制光伏方阵旋转并跟踪太阳光入射角度。又称为光感控制方式。
复合控制方式是主动控制和被动控制相结合的控制方式。
复合控制也是属于闭环控制方式的一种。跟踪控制方式采用闭环控制可以提高跟踪系统精度及效果,位置反馈信号一般采用角度传感器,跟踪效果反馈信号一般采用对应组串的实时功率或电流信号。随着近年双面组件技术发展,跟踪控制方式也有相应改变与适应,通过引入单或多组串实时输出功率(或同等效果的电流信号等参数)对跟踪系统姿态进行调节,以达到组串发电功率最高的目的。
6.7.3 在一些特殊地区应考虑腐蚀、风沙、潮湿、冰雹、盐雾等因素对跟踪系统支架的影响,满足其在设计条件下的使用寿命不低于光伏发电站的设计寿命。有时还要加设驱鸟装置。
跟踪系统预留通信端口用于远程监控和数据采集。
6.7.4 环境情况需要考虑安装地点的地势、阴影遮挡等因素。
气候特征需考虑安装点的环境温度、风沙、雨雪、湿度、冰雹、盐雾等因素。
水平单轴跟踪系统安装在纬度20°以内的地区最佳,低纬度地区全年太阳高度角相对较高,水平面上的太阳直射辐照度较大,水平单轴跟踪系统提高的发电量比较明显。
光感控制方式的跟踪系统容易因外界因素(如灰尘、鸟粪等)的影响而引起系统的非正常工作。
在大风天气,当风速超过跟踪系统工作风速时,可通过远程控制将跟踪系统快速调至最小受风面积位置(顺风向放平);在暴雪天气,当雪压超过跟踪系统工作雪压时,可通过远程控制将跟踪系统快速调至最小受压位置(最下限位置)。
6.7.5 本次修订删除了聚光光伏系统,本条提出的跟踪系统的跟踪精度规定针对的是用于平板光伏组件的跟踪系统。
6.8 光伏支架
6.8.1 光伏支架、组件连接件应结合工程实际选用材料、设计结构方案和构造措施,保证支架结构在运输、安装和使用过程中满足强度、稳定性和刚度要求,并符合抗震、抗风和防腐等要求。
6.8.2 光伏支架采用钢材时,型钢选用应符合国家现行标准《钢结构设计标准》GB50017和《冷弯薄壁型钢结构技术规范》GB50018的规定。当光伏支架采用铝合金材料时,材质的选用应符合国家现行标准《铝合金结构设计规范》GB50429的规定。
6.8.3 支架应按承载能力极限状态计算结构和构件的强度、稳定性以及连接强度,按正常使用极限状态计算结构和构件的变形。
6.8.4 按承载能力极限状态设计结构构件时,应采用荷载效应的基本组合。荷载效应组合的设计值应按下式验算:
γ0S≤R (6.8.4)
式中:γ0——重要性系数。光伏支架的设计使用年限宜为25年,安全等级为三级,重要性系数不小于0.90;在抗震设计中,重要性系数取1.0;
S——荷载效应组合的设计值;
R——结构构件承载力的设计值。
6.8.4A 承载能力极限状态下,荷载效应基本组合的设计值应按下式确定:

式中:
SGk——永久荷载作用标准值Gk的效应;
SWk、ψW——风荷载作用标准值QWk的效应和其组合值系数;
SSk、ψS——雪荷载作用标准值QSk的效应和其组合值系数;
SMk、ψM——施工检修荷载作用标准值QMk的效应和其组合值系数。
Stk、ψt——温度荷载作用标准值Qtk的效应和其组合值系数。
γG——永久荷载作用的分项系数,一般情况下应取1.3,当永久荷载对结γ构有利时,不应大于1.0;
γW——风荷载作用的分项系数,应取1.5;
γS——雪荷载作用的分项系数,应取1.5;
γM——施工检修荷载作用的分项系数,应取1.5;
γt——温度荷载作用的分项系数,应取1.5。
6.8.5 按正常使用极限状态设计结构构件时,应采用荷载效应的标准组合。荷载效应组合的设计值应按下式验算:
S≤C (6.8.5)
式中:
C——结构或结构构件达到正常使用要求所规定的变形限值,包括变形、裂缝、振幅、加速度、应力等的限值,应按相关建筑结构设计标准的规定采用。
6.8.5A 正常使用极限状态下,荷载效应标准组合的设计值应按下式计算:

6.8.5B 各种组合工况下的可变荷载组合值系数应符合表6.8.5B的规定。
表6.8.5B 各种组合工况下的可变荷载组合值系数

注:1 表中“-”号表示组合中不考虑该项荷载或作用效应;
2 正风荷载指组件正面为受荷面时的风荷载,负风荷载指组件背面为受荷面时的风荷载;
3 当支架长度大于或等于120m时,应考虑温度荷载。
6.8.6 当抗震设防烈度大于8度时,支架应进行抗震验算,抗震验算中结构重要性系数取1.0,结构构件抗力的设计值应除以承载力抗震调整系数γRE,γRE按现行国家标准《构筑物抗震设计规范》GB50191的规定取值。
6.8.7 支架的荷载和荷载效应计算应符合下列规定:
1 风荷载、雪荷载和温度荷载应按现行国家标准《建筑结构荷载规范》GB50009中不小于25年一遇的荷载数值取值。支架风荷载的体型系数宜取±1.3,特殊体型的支架结构宜通过风洞试验确定。与建筑相结合的发电系统的支架风荷载的确定应符合现行国家标准《建筑光伏系统应用技术标准》GB/T51368的要求。当需要考虑施工检修荷载时,检修荷载按实际荷载取用并作用于支架最不利位置。
2 (此款删除)
3 (此款删除)
4 (此款删除)
5 (此款删除)
6 (此款删除)
6.8.8 钢支架及构件的变形应符合下列规定:
1 支架的柱顶位移不应大于柱高的1/60。倾角可调式支架、柔性悬索结构的柱顶位移不应大于柱高的1/80。
2 受弯构件的挠度容许值不应超过表6.8.8的规定。
表6.8.8 受弯构件的挠度容许值

注:L为受弯构件的跨度。对悬臂梁,L为悬伸长度的2倍。
6.8.9 支架的构造应符合下列规定:
1 普通碳钢构件除受拉构件外,壁厚不宜小于2mm;采用屈服强度不小于420N/m㎡的连续热镀锌、热镀铝锌合金镀层钢板及钢带时,构件最小壁厚不应小于0.8mm,并应符合现行国家标准《连续热镀锌和锌合金镀层钢板及钢带》GB/T2518的规定。
2 受压和受拉构件的长细比限值应符合表6.8.9-1和表6.8.9-2的规定。
3 铝合金构件最小壁厚应符合现行国家标准《铝合金结构设计规范》GB50429的规定。
表6.8.9-1 钢支架受压和受拉构件的长细比限值
续表6.8.9-1
注:对承受静荷载的结构,可仅计算受拉构件在竖向平面内的长细比。
表6. 8.9-2铝合金、连续热镀锌、热镀铝锌合金镀层钢板及钢带支架受压和受拉构件的长细比限值
注:1 计算单角铝受压构件的长细比时,应采用角铝的最小回转半径,但计算在交叉点相互连接的交叉杆件平面外的长细比时,可采用与角铝肢边平行轴的回转半径;
2 受压构件由容许长细比控制截面的杆件,在计算其长细比时,可不考虑扭转效应;
3 受拉构件在永久荷载与风荷载组合下受压时,其长细比不宜超过250。
6.8.10 支架的防腐蚀应符合下列要求:
1 支架在结构类型、布置、构造上应便于支架防腐的检查和维护。支架应结合使用环境、使用年限、施工和维修条件等因素,因地制宜进行防腐蚀设计;大气腐蚀环境分类应按本标准附录D中数值采用。
2 普通碳素钢支架防腐宜综合采用热浸镀锌、锌铝双金属涂层、锌铝镁合金镀层等措施,防腐层最小平均厚度应满足使用年限内所处大气腐蚀环境下腐蚀裕量的要求;热浸镀锌层平均厚度不应小于55μm。
3 (此款删除)
4 铝合金支架应进行表面防腐处理,可采用阳极氧化处理措施,阳极氧化膜的最小厚度应符合表6.8.10的规定。
表6.8.10 氧化膜的最小厚度

5 连续热镀锌和锌合金镀层钢板及钢带制作的支架,对于腐蚀环境种类C1~C3地区,结构构件镀层的镀锌量不应低于180g/㎡(双面)或镀铝锌量不应低于100g/㎡(双面);对于腐蚀环境种类C4、C5地区,镀锌量不应低于275g/㎡(双面)或镀铝锌量不应低于150g/㎡(双面)。
6 耐候钢支架除应满足使用年限内所处大气环境下腐蚀裕量的要求,尚应满足腐蚀环境种类C1~C3地区,腐蚀裕量不应小于0.25mm/面,C4及以上地区,腐蚀裕量不应小于0.5mm/面。
7 其他复合材料制作的支架应满足使用年限内所处大气环境下腐蚀裕量要求。
6.8.11 倾角可调式支架的转动构件部分应满足长期户外使用条件。
6.8.1 在考虑光伏支架强度、稳定性和刚度时包含抗风和抗震要求。近年来,光伏电站组件连接件(压块或螺栓等)存在撕裂、变形等现象,因此本条中增加对组件连接件的强度、稳定性、刚度进行复核验算的要求。
6.8.2 本条列出了光伏支架常用材料,当支架采用其他特殊材料时,支架结构设计应满足相应标准的规定。
6.8.4 与现行国家标准《建筑结构荷载规范》GB50009、《构筑物抗震设计规范》GB50191和《太阳能发电站支架基础技术规范》GB51101相协调。一般光伏组件的支架的设计使用年限为25年,安全等级为三级。对于特殊光伏组件支架,设计使用年限和重要性系数要另行确定。
6.8.6 对于地面用光伏组件的支架,当设防烈度小于8度时,可以不进行抗震验算;对于与建筑结合的光伏组件的支架,应按相应的设防烈度进行抗震验算。
6.8.7 近年来跟踪支架系统等特殊支架应用广泛,本次修改增加对特殊体型的支架结构通过风洞试验确定要求。
6.8.8 本次修改增加倾角可调式支架、柔性悬索结构的柱顶位移要求。
6.8.9 本次修改增加对连续热镀锌、热镀铝锌合金镀层钢板及钢带和铝合金设计构造要求。铝合金支架设计与现行国家标准《铝合金结构设计规范》GB50429相协调。连续热镀锌、热镀铝锌合金镀层钢板及钢带符合国家现行标准《连续热镀锌和锌合金镀层钢板及钢带》GB/T2518的要求。
6.8.10 近些年光伏行业发展,支架种类多样化,结合国家现行标准《工业建筑防腐蚀设计标准》GB50046、《建筑钢结构防腐蚀技术规程》JGJ/T251、《金属覆盖层 钢铁制件热浸镀锌层 技术要求及试验方法》GB/T13912等的规定和相关技术文献及实际工程经验给出了规范限值。
支架腐蚀与所处使用环境不同,造成的腐蚀率有很大区别,因此根据使用环境选择适宜的防腐措施,才能做到先进、经济、实用。根据现行国家标准《色漆和清漆 防护涂料体系对钢结构的防腐蚀保护 第2部分:环境分类》GB/T30790.2,对大气腐蚀环境等级进行修订,增加本标准附录D大气腐蚀环境分类。
通过国家材料环境腐蚀平台“十三五数据”,2006年~2014年的热镀锌构件在大气暴露试验数据进行对比分析得出,镀锌层腐蚀速度跟构件所处的大气环境有关,不同的气候条件下热镀锌构件的腐蚀年限不同,干旱、空气洁净度好的地区,热镀锌构件腐蚀缓慢,随着空气中湿度增大腐蚀速度逐渐加快,因此要根据当地腐蚀速率和使用年限确定防腐层厚度。本标准结合实际应用及国家环保要求,增加了锌铝双金属涂层、锌铝镁合金镀层或其他涂层等防腐方式,根据现行国家标准《节能耐腐蚀钢制电缆桥架》GB/T23639和国内外相关研究成果及规范,给出金属镀层最小厚度参考值,详见表1B。
表1B 金属镀层最小厚度参考值
连续热镀锌和锌合金镀层钢板及钢带支架的最低镀锌量与现行行业标准《低层冷弯薄壁型钢房屋建筑技术规程》JGJ227中防腐要求相协调。
耐候钢及其他复合材料腐蚀裕量不应参与各类构件的承载力计算。
6.9 聚光光伏系统
(此节删除)
7 站区布置
7.1 站区总平面布置
7.1.1 光伏发电站的站区布置应根据发电站的生产、生活和施工需要,结合站址区域建设条件和建设规划,以及施工组织规划进行布置,应对站区交通运输、出线走廊和供排水设施等进行研究,立足近期,远近结合,统筹规划。
7.1.2 光伏发电站的站区总平面布置应贯彻节约用地的原则,通过优化,控制全站生产用地、生活区用地和施工用地的面积;用地范围应根据建设和施工的需要按规划容量确定,宜分期、分批征用和租用。
7.1.3 光伏发电站的站区总平面设计应包括下列内容:
1 光伏方阵。
2 升压站(或开关站)及辅助设施区。
3 站内10kV及以上交流集电线路。
4 就地逆变升压单元。
5 站内道路及通道。
6 防护功能设施(防洪、防雷、防火)。
7.1.4 光伏发电站的站区总平面布置应符合下列要求:
1 交通运输方便。
2 站内与站外、生产与生活、生产与施工之间。
3 与城镇或工业区规划相协调。
4 方便施工,有利扩建。
5 合理利用地形、地质条件。
6 减少场地的土石方工程量。
7 降低工程造价,减少运行费用,提高经济效益。
7.1.5 光伏发电站的站区总平面布置还应符合下列要求:
1 站内建筑物应结合日照方位进行布置,合理紧凑;辅助、附属建筑和行政管理建筑宜采用联合布置。
2 因地制宜地进行绿化规划,利用空闲场地植树种草,绿地率应满足当地规划部门的绿化要求。
3 升压站(或开关站)及站内建筑物和设施的选址应根据光伏方阵的布置、接入系统的方案、地形、地质、交通、生产、生活和安全等要素确定。
4 站内集电线路的布置应根据光伏方阵的布置、升压站(或开关站)的位置及单回集电线路的输送距离、输送容量、安全距离等确定。
5 站内道路应能满足设备运输、安装和运行维护的要求,并保留可进行大修与吊装的作业面。
6 光伏站区的布置应合理避让既有建(构)筑物和障碍物。
7 光伏发电站升压站或开关站的布置,应符合国家现行标准《20kV及以下变电所设计规范》GB50053、《35kV~110kV变电站设计规范》GB50059和《220kV~750kV变电站设计技术规程》DL/T5218的规定。
7.1.6 地面光伏发电站站区出入口设置应使站内外联系方便。站区主要出入口处主干道行车部分的宽度宜与相衔接的进站道路一致,宜采用6m;次干道(环行道路)宽度宜采用4m。主、次干道的转弯半径应满足消防车转弯的要求,并应满足设备运输的通行要求。应根据生产、生活和消防的需要,在站区内各建筑物之间设置行车道路、消防车通道和人行道,通向建筑物出入口处的人行引道的宽度宜与门宽相适应。
7.1.7 地面光伏发电站的主要进站道路应与通向城镇的现有公路连接,其连接宜短捷且方便行车,宜避免与铁路线交叉。
7.1.8 光伏发电站站区的竖向布置,应根据生产要求、工程地质、水文气象条件、场地标高等因素确定,并应符合下列要求:
1 升压站(或开关站)区域的室外地坪设计标高应符合国家现行标准《20kV及以下变电所设计规范》GB50053、《35kV~110kV变电站设计规范》GB50059及《220kV~750kV变电站设计技术规程》DL/T5218的规定。
2 所有建筑物、构筑物及道路等标高的确定,应满足生产使用方便。地上、地下设施中的基础、管线,管架、管沟、隧道及地下室等的标高和布置,应统一安排,合理交叉,维修、扩建便利,排水畅通。
3 应减少工程土石方工程量,降低基础处理和场地平整费用,使填方量和挖方量接近平衡。在填、挖方量无法达到平衡时,应落实取土或弃土地点。
4 站区场地的最小坡度及坡向以能较快排除地面水为原则,应与建筑物、道路及场地的雨水窨井、雨水口的设置相适应,并按当地降雨量和场地土质条件等因素确定。
5 地处山坡地区光伏发电站的竖向布置,应在满足工艺要求的前提下,合理利用地形,节省土石方量并确保边坡稳定。
7.1.9 站区场地排水系统应根据地形、工程地质、地下水位等因素进行设计,并应符合下列要求:
1 场地的排水系统应按规划容量进行设计,并使每期工程排水畅通。
2 当室外沟道高于设计地坪标高时,应有过水措施,或在沟道的两侧设排水设施。
3 地面光伏发电站的光伏方阵区场地排水宜采用自然散排。对建在山区或丘陵地区的光伏方阵区,应根据洪水侵扰情况,设置防排山洪设施。
7.1.10 生产建筑物底层地面标高,宜高出室外地面设计标高150mm~300mm,并应根据地质条件计入建筑物沉降的影响。
7.1.11 光伏发电站的交通运输、供水和排水、输电线路等站外设施,应在确定站址和落实站内各个主要系统的基础上,根据规划容量和站址的自然条件进行综合规划。
7.1.12 应结合工程具体条件,做好光伏发电站的防排洪(涝)规划,充分利用现有防排洪(涝)设施。当必须新建时,可因地制宜地选用防洪(涝)堤、排洪(涝)沟或挡水围墙。
7.1.13 光伏发电站的出线走廊,应根据系统规划、输电线出线方向、电压等级和回路数,按光伏发电站规划容量,全面规划,避免交叉。
7.1.14 光伏发电站的施工区应按规划容量统筹规划,并应符合下列要求:
1 布置应紧凑合理,节省用地。
2 应按施工流程的要求安排施工临时建筑、材料设备堆置场、施工作业场所及施工临时用水、用电干线路径。
3 施工场地排水系统宜单独设置,施工道路宜永临结合。
4 利用地形,减少场地平整土石方量,并应避免施工区场地表土层的大面积破坏,防止水土流失。
5 施工区的总平面布置应符合现行国家标准《光伏发电工程施工组织设计规范》GB/T50795的规定。
7.1.15 当光伏发电站周边植被茂盛时,光伏发电站宜设置防火隔离带或其他防火措施。
7.1.16 光伏发电站中储能系统的布置应符合现行国家标准《电化学储能电站设计规范》GB51048的规定。
7.1.3 光伏方阵布置时要合理利用场地地形,优先选用平坦场地和南坡场地,用于施工图总平面布置的地形图比例一般为1∶500~1∶1000。
7.1.5 光伏电站的布置需要避让架空线路杆塔、建筑物等及其阴影区域,以及石油天然气管线和相关设施等。
7.1.6 一般情况下,升压站或开关站的进站道路和站内道路采用混凝土路面或柏油路面,光伏场内道路采用泥结碎石路面。
7.1.7 在条件允许的情况下,站区内通往就地逆变升压站的道路宜采用混凝土路面或柏油路面,以减少道路扬尘对光伏组件表面的污染。
7.1.9 地面光伏发电站的升压站或开关站的场地排水可根据具体条件,采用明沟接入公路型道路的雨水排水系统。有条件时,也可采用自流排水。地面光伏发电站光伏方阵区场地为了减少对土壤扰动,一般利用自然地形,不进行场地平整,场地排水可结合现状排水,采用自然散排,有利于节约投资和水土保持。
7.2 光伏方阵布置
7.2.1 光伏方阵应根据站区地形、设备特点和施工条件等因素合理布置。大、中型地面光伏发电站的光伏方阵宜采用单元模块化的布置方式。
7.2.2 地面光伏发电站的光伏方阵布置应满足下列要求:
1 固定式、倾角可调式布置的光伏方阵安装方位角宜采用正南方向,方位角东西方向偏差不宜超过15°。
2 光伏方阵各排、列的布置间距宜使每天9:00~15:00(当地真太阳时)时段内东西向、南北向互不遮挡。
2A 当土地使用面积受限或土地成本较高时,跟踪式方阵应采用反向跟踪技术。
3 光伏方阵内光伏组件串的最低点距地面的距离不宜低于300mm,并应考虑以下因素:
1)当地的最大积雪深度;
2)方阵区的洪涝水位设防标准;
3)植被高度;
4)采用双面发电组件时,应根据场地反射条件和设置的背面反射措施,确定双面发电组件的安装高度。
7.2.2A 利用山地建设光伏发电站时,光伏方阵布置应考虑山体对光伏组件的遮挡,且宜随坡就势布置。
7.2.2B 光伏方阵布置在趋于稳定的采空沉陷区时,光伏方阵单列支架宜分段设置。当光伏场区涉及冲沟发育区时,布置光伏发电方阵时应做避让或采取防止冲沟发育、保护支架基础的措施。
7.2.3 (此条删除)
7.2.4 大、中型地面光伏发电站采用集中式逆变器时,逆变器宜与变压器相邻布置在光伏方阵单元的中部;采用组串式逆变器时,逆变器布置位置宜经技术经济比较后确定,且宜布置在光伏方阵内通风良好的背光区域。逆变升压变压器宜布置在光伏方阵单元的中部,且靠近主要通道处。
7.2.5 工艺管线的敷设方式应符合下列要求:
1 工艺管线和管沟宜沿道路布置。地下管线和管沟一般宜敷设在道路行车部分之外。
2 电缆不应与其他管道同沟敷设。
3 管沟、地下管线与建筑物、道路及其他管线的水平距离以及管线交叉时的垂直距离,应根据地下管线和管沟的埋深、建筑物的基础构造及施工、检修等因素综合确定。
7.2.6 逆变器和就地升压变压器的布置高度应符合光伏发电站站址区防洪、防涝标准的要求。除满足防洪、防涝标准以外,当光伏方阵区位于内涝易发区域时,逆变升压设备基础还应采取防治基础内积水或长时间浸水措施。
7.2.7 光伏方阵布置应便于光伏组件表面清洗,宜设置相应的清洗通道。
7.2.1 大、中型地面光伏发电站的光伏方阵布置一般均采用分单元、模块化的布置方式,单元模块的容量需结合逆变器和升压变的配置选取,一般取1MW(2个500kW逆变器+1个分裂变压器),不宜大于2MW。
7.2.2 光伏方阵各排、列的布置间距,无论是固定式、倾角可调式还是跟踪式一般都要使全年9:00~15:00(当地真太阳时)时段内前、后、左、右互不遮挡,也即冬至日当天9:00~15:00时段内前、后、左、右互不遮挡。
南北向间距计算推荐条件:冬至日9:00~15:00(当地真太阳时)各排方阵南北向互不遮挡,南北向光伏方阵间距如图1C所示,间距计算如下:

式中:
D——光伏方阵南北方向前后排间距;
L——光伏方阵纵向长度;
Z——光伏方阵向南倾角;
H——光伏方阵垂直高度;
L’——太阳射线在地面上的投影;
β——太阳方位角,cosβ=(sinφsinα-sinδ)/(cosαcosφ)正南为零,东向为正,西向为负;
r——方阵方位角,正南为零,东向为正,西向为负;
α——太阳高度角,sinα=sinφsinδ+cosφcosδcosω;
φ——当地纬度;
ω——太阳时角,正午为零,上午为正,下午为负(太阳时)计算公式:
ω=15×(ST-12)其中ST为真太阳时,以24小时计。ST真太阳时的换算公式为:真太阳时ST=北京时间+时差;时差=(当地经度-120°)/15°;
δ——太阳赤纬角,δ=23.45sin[360×(284+N)/365],为Cooper方程,式中N代表从1月1日算起的天数。

图1C 南北向光伏方阵间距示意图
东西向间距计算推荐条件:冬至日9:00~15:00(当地真太阳时)各排方阵东西向互不遮挡,东西向光伏方阵间距如图1D所示,间距计算如下:

式中:
D——光伏方阵东西方向前后排间距;
K——光伏方阵长度;
A——光伏方阵向东倾角;
Ω——方阵向东旋转角从三角关系可知,总有:A=Ω;
H——光伏方阵垂直高度;
L’——太阳射线在地面上的投影;
β’——太阳方位角的余角(90-β);
α——太阳高度角,sinα=sinφsinδ+cosφcosδcosω;
φ——当地纬度;
ω——太阳时角,正午为零,上午为正,下午为负(太阳时),计算公式:ω=15×(ST-12),其中ST为真太阳时,以24小时计;真太阳时的换算公式为:真太阳时(t)=北京时间+时差;时差=(当地经度-120°)/15°;
δ——太阳赤纬角,δ=23.45sin[360×(284+N)/365],为Cooper方程,式中N代表从1月1日算起的天数。

图1D 东西向光伏方阵间距示意图
上述间距计算公式适用于固定式和倾角可调式光伏方阵,也适用于各类太阳跟踪系统的方阵间距计算。
当土地面积成为约束条件时,无论固定方阵还是太阳跟踪系统方阵,都要根据土地面积首先确定方阵南北方向和东西方向的间距,然后根据上述计算公式,反推光伏方阵南北方向或东西方向的倾角,使得光伏方阵在上述推荐的边界条件下互不遮挡。
如采用跟踪布置方式,在同等土地面积条件下,需要尽量优化每台跟踪器上的光伏组件排布,选择合适的跟踪器形式,有效地对跟踪器阵列进行南北和东西间距设计,使得光伏组件能够在同等条件下,最有效地跟踪太阳运动轨迹,最大化地提高光伏阵列的发电量,提高光伏发电站总体经济效益。对于带有驱动动力、具有自动调节能力的跟踪系统,可以采用“反向跟踪”技术实现全年方阵无遮挡。
7.2.2B 采空沉陷区建设光伏发电站,根据地质灾害危险性评估报告的建议,选择趋于稳定的采空沉陷区布置光伏方阵,避免布置在适宜性差的区域。光伏方阵单列支架可以通过分段设置来适应支架基础不均匀沉降的影响。
光伏发电方阵区域涉及有冲沟发育区时,根据地质勘查报告或地质灾害危险性评估报告中对冲沟的形成、发育形态及水文工程地质条件的详细调查,做相应的避让或处理措施,如:
(1)当冲沟发育可能危及支架基础的稳定性时,采取防止冲沟发育、保护支架基础的措施;
(2)当方阵基础附近有地表水流时,引流或设置排水沟,阻止冲沟向阵列区延伸;
(3)光伏发电方阵与冲沟沟坡间的距离,要视组成沟坡的岩性、坡度、植被发育情况及冲沟发育阶段而定。
7.2.4 集中式逆变升压设备布置在光伏方阵单元模块中部是为了尽量缩短光伏方阵汇流直流线缆的敷设长度,进而降低直流线损、减少投资;采用组串式逆变器时,逆变器布置位置要经技术经济比较后确定。集中式逆变升压设备、箱逆变一体机设备布置在靠近主要通道处是为了方便设备安装及检修。
7.2.6 光伏方阵区设备布置要考虑防洪、防涝,在保证安全的前提下,为有效降低投资,可通过提高逆变器、升压变压器设备的安装高度来满足本标准第4.0.3条防洪、防涝设防标准要求。当光伏方阵区位于内涝易发区域,设备基础内易积水或长时间浸水,考虑基础底标高适当抬高、设置排水管、采用敞开式基础等措施。
7.2.7 当光伏组件表面受到污染时,其发电效率会大幅下降;同时,组件表面局部污染会产生热斑效应,影响光伏组件使用寿命,鉴于以上原因,光伏方阵设计时一般要带有一定倾角,并根据运维清洗的方式设置相应的清洗通道,以便于对光伏组件表面进行定期清洗。目前光伏电站清洗设备有半人工的清洗车、一体化的清洗车、智能清洗机器人等,光伏方阵布置要为组件清洗开展提供良好条件。
7.3 站区安全防护设施
7.3.1 光伏发电站宜设置安全防护设施,该设施可包括:围栏、入侵报警系统、视频安防系统和出入口控制系统等,并能相互联动。光伏方阵区宜设置围栏,围栏可采用钢丝护栏网。升压站或开关站的站区宜设置实体围墙,高度不应低于2.2m。
7.3.2 安装于室外的安全防护设施应采取防雷、防尘、防雨、防冻等措施。
7.3.3 入侵报警系统设计应按下列要求进行:
1 入侵报警系统设置应符合现行国家标准《入侵报警系统工程设计规范》GB 50394的规定。
2 入侵报警系统应能与视频监控系统、出入口控制系统等联动。防范区内入侵探测器的设置不得有盲区,系统除应具有本地报警功能外,还宜具有异地报警功能。
3 入侵报警系统的信号传输可采用专用有线传输为主、无线信道传输为辅的传输方式。控制信号电缆及电源线耐压等级、导线及电缆芯线的截面积均应满足传输要求。
4 系统报警应有记录,并能按时间、区域、部位任意编程设防和撤防。系统应具有设备防拆功能、系统自检功能及故障报警功能。
5 主控室内应装有紧急按钮。紧急按钮的设置应隐蔽、安全并便于操作,且应具有防误触发、触发报警自锁、人工复位等功能。
7.3.4 视频安防监控系统设计应符合下列要求:
1 视频安防监控系统设置应符合现行国家标准《视频安防监控系统工程设计规范》GB 50395的规定,并应具有对图像信号的分配、切换、存储、还原、远传等功能。
2 系统设计应满足监控区域有效覆盖、布局合理、图像清晰、控制有效的要求。
3 视频监控系统宜与灯光系统联动。监视场所的最低环境照度应高于摄像机要求最低照度(灵敏度)的10倍,当被监视场所照度低于所采用摄像机要求的最低照度时,应在摄像机防护罩上或附近加装辅助照明(应急照明)设施。
4 摄像机、解码器等宜由控制中心专线集中供电。距控制中心(机房)较远时,可就地供电,但控制中心应能对其进行开关控制。
7.3.5 出入口控制系统设计应符合下列要求:
1 在建筑物内(外)出入口、重要房间门等处宜设置出入口控制系统,出入口控制系统宜按现行国家标准《出入口控制系统工程设计规范》GB 50396的要求设计。
2 出入口控制系统宜由出入对象识别装置,出入口信息处理、控制、通信装置及出入口执行机构等三部分组成。
3 系统应与火灾报警系统及其他紧急疏散系统联动,并满足紧急逃生时人员疏散的要求。
7.3.1 光伏发电站一般为无人或少人值守站,为了安全运行,需要设置红外线报警及视频监控系统,并需要将信息传至远方有人值班的控制中心。
本规范中配置的相关设备,应满足现行国家标准《安全防范工程技术规范》GB50348和《民用闭路监控电视系统工程技术规范》GB50198的要求。
若是与110联网的系统,还需通过当地公安部门技防办的验收。
7.3.4 视频监控电视图像质量的主观评价可采用5级损伤制评定。在正常工作条件下,图像质量应不低于4级的要求;在允许的最恶劣工作条件下或应急照明情况下,图像质量应不低于3级的要求。
8 电气
8.1 变压器
8.1.1 光伏发电站升压站主变压器的选择应符合现行行业标准《导体和电器选择设计技术规定》DL/T 5222的规定,参数宜按现行国家标准《油浸式电力变压器技术参数和要求》GB/T 6451、《干式电力变压器技术参数和要求》GB/T 10228、《三相配电变压器能效限定值及节能评价值》GB 20052或《电力变压器能效限定值及能效等级》GB 24790的规定进行选择。
8.1.2 光伏发电站升压站主变压器的选择应符合下列要求:
1 应优先选用自冷式、低损耗电力变压器。
2 当无励磁调压电力变压器不能满足电力系统调压要求时,应采用有载调压电力变压器。
3 主变压器容量可按光伏发电站的最大连续输出容量进行选取,且宜选用标准容量。
8.1.3 光伏方阵内就地升压变压器的选择应符合下列要求:
1 宜选用自冷式、低损耗电力变压器。
2 变压器容量宜按光伏方阵单元最大连续输出功率选取。
3 宜选用高压(低压)预装式箱式变电站或变压器、高低压电气设备等组成的装配式变电站。防护等级不应低于IP54。
4 就地升压变压器可采用双绕组变压器,当多台没有高频环流抑制功能的集中式或集散式逆变器直接接入同一台就地升压变压器时,就地升压变压器应采用分裂变压器,且其分裂系数不宜低于3。
5 就地升压变压器宜选用无励磁调压变压器。
6 就地升压变压器应具备电气隔离功能,不应采用自耦变压器。
8.1.1 光伏发电站的变压器可分为两部分:一是升压站主变压器,二是就地升压变压器。升压站主变压器一般采用常规电力变压器,可按现行行业标准《导体和电器选择设计技术规定》DL/T 5222的要求选择。
8.1.3 光伏发电单元最大连续输出功率要综合考虑单元中光伏方阵与逆变器容量配比情况。当发电单元有无功功率输出,就地升压变压器容量选取还要考虑功率因数的影响,功率因数大小根据项目具体情况确定。
当多台没有高频环流抑制功能的集中式或集散式逆变器直接接入一台就地升压变压器时,为抑制不同逆变器之间产生环流,就地升压变压器采用分裂变压器,各台逆变器分别接入就地升压变压器的不同低压分裂绕组。
就地升压变压器一般选用无励磁调压变压器,经调压计算论证确有必要且技术经济比较合理时,可选有载调压变压器。由于防护等级I很难做到,且对散热要求太高,故防护等级统一调整为IP54。
8.2 电气主接线
8.2.1 光伏发电站发电单元接线及就地升压变压器的连接应符合下列要求:
1 逆变器与就地升压变压器的接线方案应依据光伏发电站的容量、光伏方阵的布局、光伏组件的类别和逆变器的技术参数等条件,经技术经济比较确定。
2 (此款删除)
8.2.2 光伏发电站发电母线电压应根据接入电网的要求和光伏发电站的安装容量,经技术经济比较后确定,并宜符合下列规定:
1 小型光伏发电站宜采用0.4kV~10kV电压等级。
2 中型光伏发电站宜采用10kV~35kV电压等级。
3 大型光伏发电站宜采用35kV或66kV电压等级。
8.2.3 光伏发电站发电母线的接线方式应结合本期、远景规划的额定容量、安全可靠性、运行灵活性和经济合理性等条件选择,并应符合下列要求:
1 中、小型光伏发电站宜采用单母线接线。
2 大型光伏发电站宜采用单母线或单母线分段接线。
3 当分段时,应采用分段断路器。
8.2.4 光伏发电站母线上的短路电流超过所选择的开断设备允许值时,可在母线分段回路中安装电抗器。母线分段电抗器的额定电流应按其中一段母线上所联接的最大容量的电流值选择。
8.2.5 光伏发电站内各单元发电模块与光伏发电母线的连接方式,由运行可靠性、灵活性、技术经济合理性和维修方便等条件综合比较确定,可采用下列连接方式:
1 辐射式连接方式。
2 “T”接式连接方式。
8.2.6 光伏发电站220kV及以下电压等级的母线上的电压互感器和避雷器宜合用一组隔离开关。
8.2.7 小型光伏发电站内10kV系统中性点可采用不接地、经消弧线圈接地或小电阻接地方式,接地方式应与电网的接地方式相适应。大、中型光伏发电站站内汇集系统宜采用经消弧线圈接地或小电阻接地的方式。就地升压变压器的低压侧中性点是否接地应依据逆变器的要求确定。
8.2.8 当采用消弧线圈接地时,应装设隔离开关。消弧线圈的容量选择和安装要求应符合现行国家标准《交流电气装置的过电压保护和绝缘配合设计规范》GB/T50064的规定。
8.2.9 光伏发电站110kV及以上电压等级的升压站接线方式,应根据光伏发电站在电力系统的地位、地区电力网接线方式的要求、负荷的重要性、出线回路数、设备特点、本期和规划容量等条件确定。
8.2.10 220kV及以下电压等级的母线避雷器和电压互感器宜合用一组隔离开关,110kV~220kV主变压器引出线的避雷器不宜装设隔离开关;主变压器中性点避雷器不应装设隔离开关。GIS配电装置的母线避雷器和电压互感器、电缆进出线间隔的避雷器、线路电压互感器应设置独立的隔离开关或隔离断口。架空进线的GIS线路间隔的避雷器和线路电压互感器宜采用外置结构。
8.2.1 光伏发电站设计需根据逆变器的输入端直流电压要求,将一定数量的光伏组件成串,经逆变器逆变与升压变压器升压成符合电网频率和电压要求的电源。由光伏方阵→逆变器→就地升压变压器的集合体构成为一个发电单元,光伏发电站就是由多个发电单元组合而成的。发电单元逆变器—就地升压变压器接线方案则按本条第1款中的要求确定。
一台就地升压变压器与不带隔离变压器的逆变器连接时,根据目前一般逆变器生产技术水平,为了限制并联两台逆变器交流低压输出侧的环流,一般采用分裂绕组变压器。
8.2.2 光伏发电站内连接各单元发电模块就地升压变高压侧的母线为光伏电站母线。母线电压的确定,既要符合地区电力网络的需要,也要根据光伏发电站的容量、远景规划、一次性投资和长期运营费诸多因素综合考虑。依据现行行业标准《配电网规划设计技术导则》DL/T5729光伏发电站并网的电压等级和现行国家标准《标准电压》GB/T156的有关规定,本标准中光伏电站母线电压可有380V、10kV、20kV、35kV和66kV五种系统标称电压等级。
小型光伏发电站能就地消纳,为降低造价和运营费用,可采用0.4kV。当不能就地消纳时,也可采用10kV,部分无10kV电网地区可使用20kV。
中型光伏发电站一般采用10kV~35kV电压等级。其发电站母线电压有10kV、20kV和35kV三种等级可供选择,主要取决于其综合技术经济效益和光伏发电站周边电网的实际情况。
光伏发电站发电容量大于30MW,经技术经济分析计算,母线电压采用35kV时,电站总体效益比采用10kV和20kV好,光伏发电站母线电压宜确定为35kV。
大型光伏发电站额定容量大,经技术经济分析计算,母线电压采用35kV或66kV时,电站总体效益比采用10kV和20kV好。
8.2.3 根据光伏发电站的特点,发电母线接线方式除按照本期、远景规划的发电容量、安全可靠、运行灵活和经济合理等条件选择外,还需考虑下列因素:
1 中、小型光伏发电站母线电压一般采用10kV~35kV,根据当前成套开关柜设备制造技术水平,采用单母线接线就能满足安全经济运行的要求。
2 大型光伏发电站母线电压一般采用35kV或66kV。如果一次建成投产,在一条并网进线、一个并网点的情况下,可采用单母线接线。如果分期建成投产,或有两条并网进线、两个并网点,则采用单母线分段接线较合理。
8.2.5 根据目前生产技术水平,单个逆变器容量一般不超过1MW,几个兆瓦级的光伏发电站必定由数量众多的发电单元组成,所以站内各单元发电模块与发电母线存在着如何连接问题,需要对运行可靠性、运行方式灵活度和维修方便等条件进行综合比较,选择技术可行而又经济合理的最佳方案。从已建成投产和正在建设的多个光伏电站的连接接线的调查结果看,存在着本条规范中所列举的几种方式。
8.2.8 消弧线圈的容量选择和安装要求完全套用现行行业标准《交流电气装置的过电压保护和绝缘配合》DL/T620中的第3.1.6条规定作法。
8.3 站用电系统
8.3.1 光伏发电站站用电系统的电压宜采用380V。
8.3.2 380V站用电系统,应采用动力与照明网络共用的中性点直接接地方式。
8.3.3 站用电工作电源引接方式宜符合下列要求:
1 当光伏发电站有发电母线时,宜从发电母线引接供给自用负荷。
2 当技术经济合理时,可由外部电网引接电源供给发电站自用负荷。
3 就地逆变升压室站设备用电宜由就近的就地升压变压器低压侧引接。
4 光伏跟踪支架电机的工作电源采用交流电时,宜由就近的就地升压变压器低压侧引接。
8.3.4 大、中型光伏发电站站用电系统应设置备用电源,其引接方式宜符合下列要求:
1 当光伏发电站只有一段发电母线时,宜由外部电网引接电源。当外部电网距离较远时,经技术经济比较合理时,可设置柴油发电机作为备用电源。
2 当发电母线为单母线分段接线时,可由外部电网引接电源,也可由其中的另一段母线上引接电源。
3 (此款删除)
4 工作电源与备用电源间宜设置备用电源自动投入装置。
5 光伏跟踪支架电动执行机构宜配置备用电源。
8.3.5 站用电变压器容量选择应符合下列要求:
1 站用电工作变压器容量不宜小于计算负荷的1.1倍。
2 站用电备用变压器的容量与工作变压器容量相同。
8.3.6 (此条删除)
8.3.1 光伏发电站一般无高压站用电设备,所以站用电的电压宜采用380V。
8.3.3 当所选用的逆变器不带隔离变压器、安装容量大于1MW及以上时,各发电单元站用电可从就地升压变压器低压侧引接,并配置自用变压器。集控室和配电室等要求按第1款和第2款中方式配置站用电。大型逆变器一般要求独立的外供控制电源,以增加其运行的可靠性。当选用的逆变器带隔离变压器时,通常隔离变压器输出为0.4kV,站用电可直接引接,不需配置自用变压器。
不同光伏跟踪支架设备厂商对电动执行机构的电源取用有所不同,有用直流电的,也有用交流电的;对采用交流电源的,推荐与本发电单元共用站用电源,引接要求按本条第4款执行。
8.3.4 本次修改调整了发电单元备用电源的配置要求,并增加了光伏跟踪支架电动执行机构备用电源的配置要求。当外部电网距离较远时,外部电网电源引接困难或费用较高时,经技术经济比较合理时,可设置柴油发电机作为备用电源。光伏跟踪支架电动执行机构设置备用电源的目的是为了防止支架在失电和高风速情况下不能返回安全位置的风险,备用电源一般可采用UPS、移动充电车、相邻发电单元就地升压变电器低压侧引接等方式。当光伏跟踪支架机械和结构强度足够高,能抵御当地高风速风荷载时,光伏跟踪支架电动执行机构可以不配置备用电源。
8.4 直流电源系统
8.4.1 大、中型光伏发电站应设直流电源系统向继电保护、信号、自动装置等控制负荷和交流不间断电源装置、断路器合闸机构及直流事故照明等动力负荷供电。
8.4.2 直流电源系统的电压可采用220V或110V。
8.4.3 直流电源系统的选择与设计应符合现行行业标准《电力工程直流电源系统设计技术规程》DL/T5044的规定。
8.5 配电装置
8.5.1 光伏发电站的升压站(或开关站)配电装置的设计应符合国家现行标准《高压配电装置设计技术规程》DL/T 5352及《3~110kV高压配电装置设计规范》GB 50060的规定。
8.5.2 升压站66kV及以上配电装置应根据地理位置、气候条件、用地条件和经济合理性等因素选择户内或户外布置。在沿海、用地紧张及土石方开挖工程量大的地区宜采用户内配电装置;在内陆及不受气候条件、占用土地及施工工程量等限制时,宜采用户外配电装置。
8.5.3 10kV~35kV配电装置宜采用成套式高压开关柜配置型式。
对沿海、海拔高度2000m及以上、污秽严重及土石方开挖工程量大的地区,当技术经济合理时,66kV及以上电压等级的配电装置可采用气体绝缘金属封闭开关设备;在内陆及荒漠地区可采用装配式配电装置。
8.5.4 当技术经济合理时,光伏发电站升压站或开关站的35kV及以下配电装置宜采用预制舱式。
8.5.3 10kV~35kV配电装置一般采用户内成套式高压开关柜配置型式。
对于66kV~220kV配电装置一般采用户外敞开式布置,考虑到气体绝缘金属封闭开关设备(GIS)制造技术水平的提高和造价的降低,如计及土建费用和安装运行费用后与敞开式经济指标接近时,Ⅳ级及以上污秽地区、土石方开挖工程量大的地区、地震烈度9度及以上等地区推荐采用GIS配电装置。
8.5.4 配电装置采用预制舱式具有节约用地、工厂化制作程度高、施工周期短、节能环保等特点,在技术经济合理前提下,可优先采用。
8.6 无功补偿装置
8.6.1 光伏发电站的无功补偿装置应按电力系统无功补偿就地平衡和便于调整电压的原则配置,宜利用并网逆变器的无功容量及其调节能力。逆变器无功容量及其调节能力应符合现行国家标准《光伏发电并网逆变器技术要求》GB/T37408的规定。光伏发电站的无功补偿装置的配置应符合现行国家标准《光伏发电站无功补偿技术规范》GB/T29321的规定。
8.6.2 无功补偿装置的性能应符合现行国家标准《光伏发电站无功补偿技术规范》GB/T29321的规定。
8.6.3 无功补偿装置设备的型式宜选用成套设备。
8.6.4 无功补偿装置依据环境条件、设备技术参数及当地的运行经验,可采用户内或户外布置型式,并应考虑维护和检修方便。
8.7 电气二次
8.7.1 (此条删除)
8.7.2 光伏发电站电气设备的控制、测量和信号应符合国家现行标准《光伏发电站接入电力系统设计规范》GB/T50866、《光伏发电接入配电网设计规范》GB/T50865和《火力发电厂、变电站二次接线设计技术规程》DL/T5136的规定。
8.7.3 大、中型光伏发电站的电气二次设备应布置在继电器室,继电器室面积应满足设备布置和定期巡视维护的要求,并留有备用屏位。屏、柜的布置宜与配电装置间隔排列次序对应。
8.7.4 升压站内10kV及以上各电压等级的断路器以及隔离开关、接地开关、有载调压的主变分接头位置及站内其他重要设备的启动及停止等元件应在控制室内监控。
8.7.5 光伏发电站内的电气元件保护应符合现行国家标准《继电保护和安全自动装置技术规程》GB/T14285和《光伏发电站继电保护技术规范》GB/T32900的规定。35kV及以上电压等级母线宜装设母差保护。
8.7.6 光伏发电站逆变器、跟踪器的控制应纳入监控系统。光伏发电单元就地升压变的高、低压主开关宜具备就地和远方控制功能。
8.7.7 (此条删除)
8.7.8 (此条删除)
8.7.9 光伏发电站交流不间断电源装置的设置应符合下列要求:
1 升压站或开关站内的交流不间断电源应合并设置,交流不间断电源的持续供电时间不应低于2h。
2 各光伏发电单元宜分单元配置交流不间断电源,交流不间断电源的持续供电时间不应低于0.5h。
3 升压站或开关站内配有直流电源系统时,宜采用一体化电源,交流不间断电源装置不单独配置蓄电池。
8.7.2 现行行业标准《火力发电厂、变电所二次接线设计技术规程》DL/T5136对变电站二次线设计有明确的规定,二次接线设计应符合上述规定的技术要求。
8.7.5 根据电网接入要求,35kV及以上电压等级母线一般均要求装设母差保护。
8.7.6 由于现光伏发电站控制方式一般按无人值班或少人值守的要求进行设计,现场运维人员很少,故推荐就地升压变的高、低压开关具备就地和远方控制功能,减少运维人员奔赴现场次数和时间。
8.7.9 光伏电站计算机监控系统的交流不间断电源装置与升压站或开关站内电气设备的交流不间断电源合并设置可以简化设备配置。当光伏发电站内配有直流系统时,UPS系统一般不单独配置蓄电池。
8.8 过电压保护和接地
8.8.1 光伏发电站的设备和装置的防雷设计、过电压保护和接地应符合现行国家标准《交流电气装置的过电压保护和绝缘配合设计规范》GB/T50064、《交流电气装置的接地设计规范》GB/T50065和《光伏发电站防雷技术要求》GB/T32512的规定。
8.8.2 光伏发电站建筑物防雷应符合现行国家标准《建筑物防雷设计规范》GB50057的规定。
8.8.3 光伏方阵场地内应设置接地网,接地网除应采用人工接地极外,还应充分利用支架基础的金属构件。
8.8.4 光伏方阵接地应连续、可靠,接地电阻应小于4Ω。
8.8.5 光伏组件、组件支架的接地应符合下列要求:
1 组件金属边框与金属支架之间应有可靠的接地连接措施。
2 金属支架可先与临近的其他金属支架进行等电位连接,组成接地群后再与接地网连通,每个支架群与接地网的接地点不应少于两个。
3 当采用非金属组件支架时,组件金属边框应先接地互连,后在支架两端通过引下线与接地网可靠连接。
8.8.6 室外布置的箱式逆变器和变压器等宜充分利用其箱体金属外壳对设备进行雷电防护;当采用非金属箱体时,应设置接闪器对设备进行防护。
8.8.7 水上光伏电站的接地宜沿支架或支座基础引至水下土壤,或沿通道引至岸边接地。
8.8.8 光伏方阵接地网与升压站接地网相连时,光伏方阵接地网应满足升压站接地故障时的接触电位差、跨步电位差要求。
金属支架之间通过金属导体相互连接后再与接地网联通,为保证可靠性,每个接地支架群与接地网的连接点要不少于两个,连接点分别设置在支架群所在区域的两端。
8.8.7 对水上光伏电站,由于自然界中的水是良电导体,将雷电流通过接地体直接释放至水中,人或鱼虾在泄流接地体附近就会被电伤甚至死亡。与渔业相结合的水上光伏电站,由于进入光伏场内有渔业人员,为保障人员安全,同时也为了避免因雷击造成鱼类死亡,引起的与渔业养殖纠纷,故要求电站布置在水面区域的光伏方阵、逆变器、升压变等设备的接地保护采取接地体沿光伏支架和设备支座的桩基埋设至水下土壤中,也可沿电缆或巡视通道引至岸边接地网或接地极。
8.8.8 国内光伏电站接地普遍存在着光伏场与升压站地网连接时不校核接触电位差、跨步电位差的问题,故新增此条强调需要校核。
8.9 电缆选择与敷设
8.9.1 光伏发电站电缆的选择与敷设,应符合现行国家标准《电力工程电缆设计规范》GB 50217的规定,电缆截面应进行技术经济比较后选择确定。
8.9.1A 光伏发电系统中电缆的截面应根据长度进行选择,光伏系统交流电压降落不宜大于3%;光伏系统直流电压降落不宜大于2%,且应符合现行行业标准《电力工程直流电源系统设计技术规程》DL/T5044的规定。
8.9.1B 光伏组件与组串汇流箱、光伏组件与组串式逆变器之间的电缆宜采用单芯电缆,且应符合现行行业标准《光伏发电系统用电缆》NB/T42073的规定。
8.9.2 集中敷设于沟道、槽盒中的电缆宜选用C类及以上阻燃电缆;建筑光伏发电系统电缆应采用C类及以上阻燃电缆,电力电缆宜选择铜导体。
8.9.3 光伏组件之间及组件与汇流箱之间的电缆应有固定措施和防晒措施。
8.9.4 电缆敷设可采用直埋、电缆沟、电缆桥架、电缆线槽等方式。电力电缆和控制电缆、光缆、屏蔽双绞线等线缆宜分开排列,当采用直埋敷设时,应选用铠装电缆或采取穿管保护。
8.9.5 电缆沟不得作为排水通路。
8.9.6 远距离传输时,网络电缆宜采用光纤电缆。
8.9.7 集电线路采用架空设计时应符合现行国家标准《66kV及以下架空电力线路设计规范》GB50061的规定;站区内杆塔定位时,应减少杆塔对光伏组件的遮挡影响。
8.9.8 与农业、牧业相结合的光伏发电站、水上光伏发电站的电缆敷设应符合下列要求:
1 汇流箱和逆变设备之间的电缆采用电缆桥架或电缆线槽敷设时,电缆桥架、电缆线槽的设置应便于通行、种植和养殖作业。
2 电缆采用直埋敷设时,耕作区直埋电缆深度不宜小于1000mm。
3 采用固定式方阵基础的水上光伏发电站,位于水面区域的电缆宜采用电缆桥架或电缆线槽敷设,电缆桥架、电缆线槽的设置不应影响水域内交通运输。
4 漂浮式水上光伏发电站光伏方阵与陆上连接段的电缆宜固定在浮体上呈蛇形敷设,且应满足伸缩要求。位于水面区域的电缆应具有防水、抗紫外光能力。
8.9.9 光伏发电站中电气设备电缆出线孔与地面之间需要设置电缆保护管或保护槽盒。
8.9.1A 光伏系统中交流、直流电缆路径长度确定时,需满足载流量和系统电压降落的相关要求,如电压降落不满足要求时,增大相应电缆的截面或调整设备相对位置以缩短路径长度,使压降在规定范围内。交流电压降落计算可参照《工业与民用配电设计手册》。
8.9.1B 光伏组件与组串汇流箱或组串式逆变器之间的电缆一般要采用光伏专用电缆,其耐紫外线、耐臭氧、耐气候性、温度特性、阻燃特性等要符合现行行业标准《光伏发电系统用电缆》NB/T42073的规定。
8.9.2 因光伏电站占地面积大,电缆敷设时会比较分散。在西北干旱地区常采用直埋方式敷设,采用此方式敷设有利于降低工程投资并有利于防止电缆火灾,因此对此部分电缆不做阻燃要求,但应采用铠装电缆。
建筑光伏发电系统的电缆应具有良好的阻燃性能,电缆的导体材料一般选择导电性能较好的铜导体,在同等载流量条件下,铜导体电缆的线径较小,所以占用空间较小。
8.9.4 电力电缆和控制电缆、光缆、屏蔽双绞线等线缆分开排列是为了防止电力电缆对信号电缆干扰;电缆直埋敷设时要采取铠装保护。组件与组串汇流箱或组串式逆变器之间的连接电缆需要埋地敷设时,采用穿管保护时,可不用铠装保护,但穿管时正负极电缆应分穿在不同保管内。
8.9.6 传输数据的金属线缆超过一定距离时导致信号衰减,远距离网络电缆传输时,一般采用光纤电缆。
8.9.7 对于光伏组件区域的地块比较分散的项目,当采用10kV或35kV架空集电线路时,位于光伏方阵区域的杆塔会对光伏组件形成遮挡,定位时需要计算其阴影范围,杆塔定位与光伏方阵布置要互相配合,减少对组件遮挡影响。
8.9.8 与农业、牧业、水面相结合的光伏发电站,电缆敷设除要考虑运行安全外,还要考虑满足方阵区域内通道、生产活动的作业空间要求。
8.9.9 光伏发电站中电气设备电缆出线孔与地面之间电缆裸露在外部的部分需要设置电缆保护措施,以防外力破坏或断线引起周围设备带电,同时增加电缆抗腐蚀能力。
8.10 监控系统
8.10.2 光伏发电站宜采用一体化的监控系统,实现整个光伏发电站的监视、测量、控制功能。监控范围宜包括升压站或开关站区、光伏方阵区、储能系统区和生活附属设施区的光伏发电设备、高、低压电气设备、继电保护和专用装置及生产辅助设备。
8.10.3 光伏发电站监控系统宜具备经济运行决策、在线诊断及自动修复、自动巡检与故障分析、故障预警等功能,实现电站的基本智能化监控与运维管理。
8.10.4 大、中型光伏发电站的监控系统应具备与电网调度网连接的能力,实现遥测、遥信、遥调、遥控等全部的远动功能。
8.10.5 监控系统应采取抵御黑客、病毒、恶意代码等对系统的破坏、攻击以及非法操作的安全防护措施,满足电力监控系统安全防护要求。站控系统与光伏方阵区之间的网络通信系统应配置加密认证装置。当光伏方阵区采用无线通信方式或基于外部公用数据网的虚拟专用网路与站控系统连接时,应设立安全接入区,并按接入区要求配置安全隔离、访问控制、身份认证等安全措施。
8.10.6 监控系统的系统结构及配置、系统功能、性能指标、工作环境条件应符合现行国家标准《光伏发电站监控系统技术要求》GB/T31366的规定。
8.10.2 目前国内光伏电站多采用升压站或开关站监控系统和光伏方阵区监控系统分离设计的方式。这种监控方式软、硬件不统一,信息交互困难,信息利用率低,其自动化控制水平远低于目前国内火力发电站的控制水平。电站采用一体化监控系统后,监控系统可以直接采集电站运行数据和二次设备运行状态信息,通过标准化接口与辅助应用系统、计量系统等进行信息交互,实现电站全景采集、处理、监视、运行管理等。一体化监控系统纵向贯通调度、生产等主要系统,横向连通电站内各主要自动化设备,是光伏发电站计算机监控系统未来发展的方式。
8.10.3 电站智能化有益于提高电站管理水平,并进一步降低运营成本,提高项目收益。经济运行决策系统、在线诊断及自动修复、自动巡检与故障分析、故障预警等功能是监控系统智能化的基础功能,其他智能化功能和模块可根据建设单位需要增加。
8.10.4 国内光伏电站容量占比逐年增加,大、中型光伏电站对电网的影响也越来越大,为保证电网安全稳定运行,此类光伏电站在设计时就需要配备完善的远动功能,以应对电网调度部门对大、中型光伏电站的调度需求。
8.10.5 根据《电力监控系统安全防护规定》(国家发展和改革委员会第14号令)的规定,增加了光伏方阵区在网络通信安全方面的要求。
9 接入系统
9.1 一般规定
9.1.1 光伏发电站接入电网的电压等级应根据光伏发电站的容量及电网的具体情况,在接入系统设计中经技术经济比较后确定。
9.1.2 光伏发电站向当地交流负载提供电能和向电网发送的电能质量应符合公用电网的电能质量要求。
9.1.3 光伏发电站应具有相应的继电保护功能。
9.1.4 通过35kV及以上电压等级并网的光伏发电站应具备与电力调度部门之间进行数据通信的能力,并应符合电网安全运行对电力通信的要求;通过10kV及以下电压等级并网的光伏发电站宜具备数据上报能力。
9.1.5 与电力调度机构之间进行数据通信的光伏发电站的电力监控系统安全防护应符合现行国家标准《光伏发电站监控系统技术要求》GB/T31366和国家有关电力监控系统安全防护的规定。
9.1.1 光伏发电站接入电网的电压等级与电站的装机容量、周边电网的接入条件等因素有关,需要在接入系统设计中,经技术经济比较后确定。
9.1.2 光伏发电作为可再生能源发电重要的组成部分,具有波动性和间歇性的特点,接入电网易产生电网频率变化、电压波动和闪变。同时,光伏发电并网逆变器易产生谐波、三相电流不平衡等,为减少光伏发电接入电网对电力系统产生的影响,并保证电站和电网的安全,在出现严重偏差时,需要有安全防范措施。
9.1.3 本条规定光伏发电站应具有相应的继电保护功能,出现异常及时断开与电网的连接,以保证设备和人身安全。
9.1.4 通过35kV(20kV)及以上电压等级并网的光伏发电站要具备与电力调度部门之间进行实时数据通信的能力,并符合电网安全运行对电力通信的要求,以满足电网调度的需要。小型光伏电站与电力调度部门之间的通信要求可以适当简化,面对分布式光伏发电并网比例逐年增多的发展现状,通过10kV及以下电压等级并网的发电站一般要具备数据上报能力。
9.1.5 对于与电力调度之间进行数据通信的光伏电站,需要落实国家信息安全等级保护制度,按照国家信息安全等级保护有关的要求,坚持“安全分区、网络专用、横向隔离、纵向认证”的原则,通过配置相应的二次安全防护措施来防止黑客及恶意代码等对电力系统的攻击和侵害,保证电力系统设备安全运行。电力监控系统安全防护除了要符合现行国家标准以外,还要符合《电力监控系统安全防护规定》(国家发展和改革委员会2014年第14号令)等规定。
9.2 并网要求
9.2.1 (此条删除)
9.2.1A 通过35kV及以上电压等级并网以及通过10kV电压等级与公共电网连接的光伏发电站应符合现行国家标准《光伏发电站接入电力系统设计规范》GB/T50866和《光伏发电站接入电力系统技术规定》GB/T19964的规定。
9.2.2 (此条删除)
9.2.2A 通过10kV电压等级接入用户侧电网以及通过380V电压等级接入电网的光伏发电系统应符合现行国家标准《光伏发电接入配电网设计规范》GB/T50865和《光伏发电系统接入配电网技术规定》GB/T29319的规定。
9.2.3 (此条删除)
9.2.4 (此条删除)
9.2.5 (此条删除)
9.2.6 (此条删除)
9.2.1A 光伏发电站由于接入电压等级或接入电网位置不同,对其并网要求也不相同。按照已发布的相关国家标准的要求,通过35kV及以上电压等级并网,以及通过10kV电压等级与公共电网连接的光伏发电站的并网要求较高,内容包括:有功功率、功率预测、无功容量、电压控制、低电压穿越、运行适应性、电能质量等。通过10kV电压等级接入用户侧电网,以及通过380V电压等级接入电网的光伏发电系统的并网要求较低,内容包括:无功容量和电压调节、启动、运行适应性、电能质量、安全与保护、通用技术要求、电能计量等。根据现行国家标准《光伏发电站接入电力系统设计规范》GB/T50866的规定,通过35kV及以上电压等级并网以及通过10kV电压等级与公共电网连接的新建、改建和扩建光伏发电站其一次、二次设计都要符合现行国家标准《光伏发电站接入电力系统技术规定》GB/T19964的规定。根据现行国家标准《光伏发电接入配电网设计规范》GB/T50865的规定,通过10kV电压等级接入用户侧电网以及通过380V电压等级接入电网的光伏发电系统其一次、二次设计都要符合现行国家标准《光伏发电系统接入配电网技术规定》GB/T29319的规定。
9.2.2A 光伏发电站由于接入电压等级或接入电网位置不同,对其并网要求也不相同。按照已发布的相关国家标准的要求,通过35kV及以上电压等级并网,以及通过10kV电压等级与公共电网连接的光伏发电站的并网要求较高,内容包括:有功功率、功率预测、无功容量、电压控制、低电压穿越、运行适应性、电能质量等。通过10kV电压等级接入用户侧电网,以及通过380V电压等级接入电网的光伏发电系统的并网要求较低,内容包括:无功容量和电压调节、启动、运行适应性、电能质量、安全与保护、通用技术要求、电能计量等。根据现行国家标准《光伏发电站接入电力系统设计规范》GB/T50866的规定,通过35kV及以上电压等级并网以及通过10kV电压等级与公共电网连接的新建、改建和扩建光伏发电站其一次、二次设计都要符合现行国家标准《光伏发电站接入电力系统技术规定》GB/T19964的规定。根据现行国家标准《光伏发电接入配电网设计规范》GB/T50865的规定,通过10kV电压等级接入用户侧电网以及通过380V电压等级接入电网的光伏发电系统其一次、二次设计都要符合现行国家标准《光伏发电系统接入配电网技术规定》GB/T29319的规定。
9.3 继电保护
9.3.1 光伏发电站的系统保护、送出线路保护应符合现行国家标准《继电保护和安全自动装置技术规程》GB/T14285的规定,且应满足可靠性、选择性、灵敏性和速动性的要求。
9.3.2 (此条删除)
9.3.3 通过380V电压等级接入电网,以及通过10kV电压等级用户侧并网的光伏发电站的防孤岛及继电保护装置应符合现行国家标准《光伏发电系统接入配电网技术规定》GB/T29319的规定。有计划性孤岛要求的光伏电站,应配置频率、电压控制装置。
9.3.4 通过35kV及以上电压等级并网,以及通过10kV电压等级与公共电网连接的光伏发电站的继电保护装置应符合现行国家标准《光伏发电站接入电力系统技术规定》GB/T19964的规定。
9.3.5 在并网线路同时T接有其他用电负荷情况下,光伏发电站防孤岛效应保护动作时间应小于电网侧线路保护重合闸时间。
9.3.6 接入66kV及以上电压等级电网的光伏发电站应装设专用故障记录装置。故障记录装置应记录故障前10s到故障后60s的情况,并能够向电力调度部门进行数据传送。
9.3.3~9.3.4 防孤岛保护是针对电网失压后光伏电站可能继续运行,且向电网线路送电的情况而提出的。孤岛现象的发生,将对维修人员、电网与负荷造成诸多不良影响。
现行国家标准《光伏发电系统接入配电网技术规定》GB/T29319中对防孤岛保护提出了具体要求,需要遵照执行。
9.3.5 本条规定目的是保障其他用户的用电可靠性。
9.4 自动化
9.4.1 通过35kV及以上电压等级并网,以及通过10kV电压等级与公共电网连接的光伏发电站应配置相应的自动化终端设备,采集发电装置及并网线路的遥测和遥信量,接收遥控、遥调指令,并通过专用通道与电力调度机构相连。
9.4.2 通过35kV及以上电压等级并网,以及通过10kV电压等级与公共电网连接的光伏发电站计算机监控系统远动设备的容量及性能指标应满足光伏发电站端远动功能及规约转换要求。
9.4.3 光伏发电站向电力调度部门提供的远动信息应包括遥测量和遥信量,并应符合下列要求:
1 遥测量应包括下列内容:
1)发电总有功功率和总无功功率。
2)无功补偿装置的进相及滞相运行时的无功功率。
3)升压变压器高压侧有功功率和无功功率。
4)双向传输功率的线路、变压器的双向功率。
5)站用总有功电能量。
6)光伏发电站的电压、电流、频率、功率因数。
7)大型光伏发电站的辐照强度、温度等。
8)光伏发电站的储能容量状态。
2 遥信量应包括下列内容:
1)并网点断路器的位置信号。
2)有载调压主变分接头位置。
3)逆变器、变压器和无功补偿设备的断路器位置信号。
4)事故总信号。
5)出线主要保护动作信号。
9.4.4 电力调度部门根据需要可向光伏发电站传送下列遥控或遥调命令:
1 并网线路断路器的分合。
2 无功补偿装置的投切。
3 有载调压变压器分接头的调节。
4 (此款删除)
5 光伏发电站的功率调节。
9.4.5 通过35kV及以上电压等级并网且额定容量在40MW及以上的光伏发电站应配置同步相量测量单元(PMU)装置。
9.4.6 通过10kV电压等级接入用户侧电网以及通过380V电压等级接入电网的光伏发电站可根据当地电网实际情况对自动化设备进行适当简化。
9.4.2 计算机监控系统远动通信设备一般为双套配置,分别以主、备两个通道与调度端进行通信。满足相关调度要求,其容量及性能指标需满足光伏发电站端远动功能及规约转换要求,并能实现与光伏发电站内其他智能IED设备的通信接口,实现数据共享。
9.4.3 在工程设计中,根据各地电力调度部门实际需要,信号会有所不同。
9.4.6 随着光伏发电装机容量在电力系统中的比例不断提高,电力调度部门对于光伏电站调度管理力度也在逐渐增大,对于通过35kV及以上电压等级并网,以及通过10kV电压等级接入公共电网的光伏发电站,自动化设备需要按照当地电网对应的标准和要求进行配置;对通过10kV电压等级接入用户侧,以及通过380V电压等级接入电网的光伏发电站,可结合投资的经济效益和当地电网的实际情况对自动化设备进行适当简化。
9.5 通信
9.5.1 光伏发电站通信可分为站内通信与系统通信。系统通信设计应符合现行国家标准《光伏发电站接入电力系统技术规定》GB/T19964和《光伏发电系统接入配电网技术规定》GB/T29319的规定。
9.5.2 站内通信应符合下列要求:
1 光伏发电站站内通信应包括生产管理通信和生产调度通信。
2 大、中型光伏发电站为满足生产调度需要,宜设置生产程控调度交换机,统一供生产管理通信和生产调度通信使用。
3 大、中型光伏发电站内通信设备所需的交流电源,应由能自动切换的、可靠的、来自不同站用电母线段的双回路交流电源供电。
4 站用通信设备可使用专用通信直流电源或DC/DC变换直流电源,电源宜为直流48V。通信专用电源的容量,应按发展所需最大负荷确定,在交流电源失电后能维持放电不小于1h。
5 光伏发电站可不单独设置通信机房,通信设备宜与线路保护、调度自动化设备共同安装于同一机房内。
9.5.3 系统通信应符合下列要求:
1 光伏发电站应装设与电力调度部门联系的专用调度通信设施。通信系统应满足调度自动化、继电保护、安全自动装置及调度电话等对电力通信的要求。
2 通过10kV接入公共电网的光伏发电站至电力调度部门应配置一路通信通道,通过35kV及以上电压等级并网的光伏发电站至电力调度部门应有两个相互独立的调度通道,其中通过110kV(66kV)及以上电压等级接入电网的光伏发电站至少一个通道应为光纤通道。
3 光伏发电站与电力调度部门之间通信方式和信息传输应满足当地电力调度的要求。
9.5.2 对于无人站,站内通信部分可以简化。当光伏发电站内配有直流系统时,推荐采用一体化电源,通信设备所需的直流电源可由DC/DC变换取得。
9.5.3 光伏发电站与电力调度部门之间通信方式和信息传输,一般可采用基于IEC-60870-5-101和IEC-60870-5-104的通信协议。
9.6 电能计量
9.6.1 光伏发电站电能计量点宜设置在电站与电网设施的产权分界处或合同协议中规定的贸易结算点;光伏发电站站用电取自公用电网时,应在高压引入线高压侧设置计量点。每个计量点均应装设电能计量装置。电能计量装置应符合现行行业标准《电能计量装置技术管理规程》DL/T 448和《电测量及电能计量装置设计技术规程》DL/T 5137的规定。
9.6.2 光伏发电站应配置具有通信功能的电能计量装置和相应的电能量采集装置。同一计量点应安装同型号、同规格、准确度相同的主备电能表各一套。
9.6.3 光伏发电站电能计量装置采集的信息应接入电网的电能信息采集系统。
9.6.1 电能计量点原则上应设置在电站与电网设施的产权分界处,但为了便于计量和管理,经双方协商同意,也可设置在购售电合同协议中规定的贸易结算点处。
10 建筑与结构
10.1 一般规定
10.1.1 光伏发电站建(构)筑物的布置应根据总体布置要求、站址地质条件、设备型号、电源进线方向、对外交通以及有利于站房施工、设备安装与检修和工程管理等条件,经技术经济比较确定。
10.1.2 建筑设计应根据规划留有扩建的空间。
10.1.3 光伏一体化的建筑应结合建筑功能、建筑外观以及周围环境条件进行光伏组件类型、安装位置、安装方式和色泽的选择,使之成为建筑的有机组成部分。与光伏发电系统相结合的建筑设计应为光伏组件安装、使用、维护和保养等提供承载条件和空间,并应符合现行国家标准《建筑光伏系统应用技术标准》GB/T51368的规定。
10.1.4 (此条删除)
10.1.1 光伏发电站主要配备有综合控制室、变配电站、水泵房、汽车库、警卫室等。根据项目规模及总体布置,这些站、室可增减或合并。本条规定了以上站房布置的基本要求。
10.1.2 站房建筑平面和空间布局一般具有适当的灵活性,为生产工艺的扩建、调整创造条件。
10.1.3 光伏一体化的建筑设计应与光伏发电系统设计同步进行。建筑设计需要根据选定的光伏发电系统类型,确定光伏组件形式、安装面积、尺寸大小、安装位置方式,考虑连接管线走向及辅助能源及辅助设施条件,明确光伏发电系统各部分的相对关系,合理安排光伏发电系统各组成部分在建筑中的位置,并满足所在部位防水、排水等技术要求。建筑设计需为光伏发电系统各部分的安全检修、光伏构件表面清洗等提供便利条件。
10.2 地面光伏发电站建筑
10.2.1 地面光伏发电站的建筑物设计应符合下列要求:
1 满足设备布置、安装、运行和检修的要求。
2 满足内外交通运输的要求。
3 满足站房结构布置的要求。
4 满足站房内采暖、通风和采光要求。
5 满足防水、防潮、防尘、防噪声要求。
6 建筑造型与场地协调,布置合理,适用美观。
10.2.2 建筑物节能设计应满足建筑功能和使用质量的要求,并应符合下列要求:
1 满足建筑围护结构的基本热工性能。
2 宜利用自然采光。
10.2.3 建筑物门窗应根据建筑物内通风、采暖和采光的需要合理布置,必要时可采用双层玻璃窗。
10.2.4 建筑物屋面可根据当地气候条件和站房内通风、采暖要求设置保温隔热层。
10.2.5 建筑物应预留设备搬入口,设备搬入口可结合门窗洞或非承重墙设置。
10.2.6 采用酸性蓄电池的蓄电池室和贮酸室应采用耐酸地面,其内墙面应涂耐酸漆或铺设耐酸材料。
10.2.2 地面光伏发电站建筑物的节能设计,主要以加强建筑围护结构的热工性能及自然通风采光为主。建筑热工设计主要包括建筑物及其围护结构的保温、隔热和防潮设计,所采取的主要措施有:控制窗户面积,提高窗户气密性;围护结构实际采用的传热阻尽量接近经济传热阻;在严寒和寒冷地区,入口处设置门斗,加强外门、窗保温等。采取这些措施后,将在一定程度上降低采暖和空调能耗,提高经济和社会效益。
建筑物设计中,需合理布置各用房的外墙的开窗位置、窗口大小、开窗方向,有效地组织与室外空气直接流通的自然风,提高各用房的空气质量,降低设备运行温度。
建筑设计中宜尽量争取好的朝向。各类房间的平面空间组合需有利于获取良好的天然采光,这样既可以保证卫生,又可以节约能源。各类用房的采光标准应按现行国家标准《建筑采光设计标准》GB/T 50033中的有关规定执行。
10.2.3 在严寒和寒冷地区,一般可采用双层玻璃窗以满足保温要求。在风沙较大的荒漠地区,外门窗还需有防风沙措施。
10.3 屋顶及建筑一体化
(此节删除)
10.4 结构
10.4.1 光伏发电站中,除光伏支架外的建(构)筑物的结构设计使用年限应为50年。
10.4.2 建(构)筑物结构型式、地基处理方案应根据地基土质、建(构)筑物结构特点、施工条件和运行要求等因素,经技术经济比较后确定。
10.4.3 一般情况下,建筑的抗震设防烈度应采用根据中国地震动参数区划图确定的地震基本烈度。
10.4.4 结构构件应根据承载能力极限状态及正常使用极限状态的要求,进行承载能力、稳定、变形、抗裂、抗震验算。
10.4.5 与光伏发电系统相结合建筑的主体结构或结构构件应能够承受光伏发电系统传递的荷载。
10.4.6 光伏发电站的结构基础设计应依据岩土工程勘察报告等资料内容进行:
1 有无影响场地稳定性的不良地质条件及其危害程度。
2 场地范围内的地层结构及其均匀性,以及各岩土层的物理力学性质。
3 地下水埋藏情况、类型和水位变化幅度及规律,以及对建筑材料的腐蚀性。
4 在抗震设防区划分的场地土类型和场地类别,并对饱和砂土及粉土进行液化判别。
5 对可供采用的地基基础设计方案进行论证分析;确定与设计要求相对应的地基承载力及变形计算参数,以及设计与施工应注意的问题。
6 地下水、土壤腐蚀性。
7 地基土冻胀性、湿陷性、膨胀性的评价。
8 水上光伏发电站应明确项目所在水体的腐蚀性、丰水期和枯水期的水位等。
10.4.7 建筑结构及支架的基础应进行强度、变形、抗倾覆和抗滑移验算,采取相应的措施,且应符合国家现行标准《构筑物抗震设计规范》GB50191、《建筑地基基础设计规范》GB50007、《太阳能发电站支架基础技术规范》GB51101、《建筑桩基技术规范》JGJ94和《建筑地基处理技术规范》JGJ79等的规定。
10.4.8 当场地地下水位低、稳定持力层埋深大、需要冬季施工、地形起伏大或对场地生态恢复要求较高时,支架的基础可采用钢制螺旋桩、型钢桩
10.4.9 (此条删除)
10.4.10 (此条删除)
10.4.11 (此条删除)
10.4.12 水上光伏发电站的组件支架和设备基础应根据水文、工程地质和施工条件,经技术经济对比后确定。当采用固定式支架基础时,宜采用预制桩基础。
10.4.1 按照现行国家标准《建筑结构可靠度设计统一标准》GB 50068,光伏发电站建(构)筑物的结构设计使用年限为50年,结构在规定的设计使用年限内应具有足够的可靠度。
10.4.3 一般情况下,建筑的抗震设防烈度应采用根据中国地震动参数区划图确定的地震基本烈度。
10.4.5 在新建建筑上安装光伏发电系统时,结构设计时需事先考虑其传递的荷载效应;在既有建筑物上安装光伏发电系统时,需进行结构安全复核。
10.4.6 水上光伏发电站工程的设计需要有水体的腐蚀性、丰水期和枯水期的水位等参数,以便于设计方案中对支架基础形式和所采用材料的确定。
10.4.12 近年来水上光伏发电站工程已有较多投用生产,结合已建工程经验总结,对水上光伏发电站支架基础和集中式逆变升压单元基础的形式做了基本规定。
11 给排水、暖通与空调
11.1 给排水
11.1.1 光伏发电站给排水设计应符合下列要求:
1 应满足生产、生活和消防用水要求,且应符合现行国家标准《建筑给水排水设计规范》GB 50015的规定。
2 应合理利用水资源和保护水体。各类废、污水应按水质分流排水,并应根据排放要求进行处理,处理后对外排放的水质应符合现行国家标准《污水综合排放标准》GB8978的规定。
11.1.2 给水水源的选择应根据水资源勘察资料和总体规划的要求,通过技术经济比较后确定。
11.1.3 生活饮用水的水质应符合现行国家标准《生活饮用水卫生标准》GB 5749的规定。
11.1.4 光伏组件清洗系统宜采用节水型设备,清洗用水宜为中性水。采用管道水清洗光伏组件时,设计水压应符合现行国家标准《室外给水设计规范》GB50013的规定。
11.1.5 寒冷及严寒地区,给水管设计时应设泄水装置。
11.1.1 除生活饮用、盥洗、淋浴等用水外,在满足水质要求的情况下,生产和杂用水充分考虑利用非传统水资源、生产排出的清洁废水等资源,当有市政再生水条件时,优先利用市政再生水。
对于污、废水排放,通常情况下,避免少量高浓度废水与大量低浓度废水互相混合,分流后分别处理往往比较经济合理。
11.1.2 条件允许时,可与农业、水利、邻近城镇和工业企业协调,综合利用水资源。
11.1.4 根据场地的水资源状况,选择有水清洁和无水清洁。清洗方式可根据条件选择人工清洗方式、半自动清洗方式和自动清洗方式。清洗设备采用节水型设备。
11.2 暖通与空调
11.2.1 光伏发电站建筑采暖通风与空气调节设计方案,应根据建筑的用途与功能、使用要求、冷热负荷构成特点、环境条件以及能源状况等,结合国家有关安全、环保、节能、卫生等方针、政策,经综合技术经济比较确定。
11.2.2 累年日平均温度稳定低于或等于5℃的日数大于或等于90天的地区,当建筑物内经常有人停留、工作或对室内温度有一定要求时,应设置采暖设施。
11.2.3 供暖通风和空气调节室外空气计算参数的选用应符合现行国家标准《工业建筑供暖通风与空气调节设计规范》GB50019和《民用建筑供暖通风与空气调节设计规范》GB50736的规定。
11.2.4 光伏发电站内各类建筑物冬季采暖室内计算温度宜符合表11.2.4的规定:
表11.2.4 建筑物冬季采暖室内计算温度

注:采用阀控式密封铅酸电池组的蓄电池室,室内计算温度为15℃。
11.2.5 需设置采暖的建筑物,当其位于严寒地区或寒冷地区且在非工作时间或中断使用的时间内,室内温度需保持在0℃以上而利用房间蓄热量不能满足要求时,应按5℃设置值班采暖。
11.2.6 低温加热电缆辐射采暖宜采用地板式;低温电热膜辐射采暖宜采用顶棚式。
11.2.7 光伏发电站各类建筑应有良好的自然通风。当自然通风达不到室内空气参数要求时,可采用自然与机械联合通风、机械通风、局部空气调节等方式。通风系统应考虑防风沙措施。
11.2.8 当通风装置不能满足工艺对室内的温度、湿度要求时,主控制室、继电器室等应设置空气调节装置。在满足工艺要求的条件下,宜减少空气调节区的面积。当采用局部空气调节或局部区域空气调节能满足要求时,不应采用全室性空气调节。
11.2.9 逆变器室的通风及空气调节应符合下列要求:
1 逆变器室的环境温度应控制在设备运行允许范围内。
2 逆变器室应有通风设施,确保逆变器产生的废热能排离设备。
3 出风口的朝向应根据当地主导风向确定。
4 进风口、出风口应有防尘、防雨设施。
11.2.10 11.2.10 通风和空气调节设计应符合现行国家标准《建筑设计防火规范》GB50016和《建筑防烟排烟系统技术标准》GB51251的规定。
11.2.1 由于空气调节系统的初投资和运行费用较高,因此,建(构)筑物是否设置全年使用的空气调节系统应从多个方面进行综合分析。建筑物所在地的室外气象条件、建筑物室内温、湿度要求以及投资是影响空调系统设置与否的主要因素,需要充分考虑。
11.2.2 光伏发电站建筑物可采用散热器采暖、燃气红外线辐射采暖、热风采暖及热空气幕、电采暖等采暖方式。
11.2.4 因环境温度太低会影响蓄电池容量,温度太高会影响其使用寿命,可按现行行业标准《电力工程直流系统设计技术规程》DL/T 5044选择蓄电池。
11.2.5 位于严寒和寒冷地区的建筑物在非工作时间或中断使用时间内,室内温度应保持在4℃以上,当利用房间蓄热量不能满足要求时,需按5℃设置值班采暖系统。
11.2.9 逆变器工作时散热量较大,需采取有效的通风降温措施,保证设备正常运行。
11.2.10 光伏电站种类较多、规模差异性较大,暖通空调设计时,需根据建筑具体情况,合理设计防排烟系统,配置防排烟设备。
12 环境保护与水土保持
12.1 一般规定
12.1.1 光伏发电站的环境保护和水土保持设计应贯彻执行国家和所在省(市)颁布的环境保护和水土保持法律、法规、标准、行政规章及环境保护规划。
12.1.2 光伏发电站的环境保护设计应贯彻国家产业政策和发展循环经济及节能减排的要求,采用清洁生产工艺,对产生的各项污染物及生态环境影响应采取防治措施。
12.1.3 光伏发电站应根据国家和地方环境保护行政主管部门的要求进行环境影响评价。
12.1.4 光伏发电站的环境保护设计方案应以批复的环境影响报告书(表)为依据。
12.1.5 各污染物的处理应选用资源利用率高、污染物排放量少的设备和工艺,对处理过程中产生的二次污染应采取相应的治理措施。
12.2 污染防治
12.2.1 光伏发电站生活污水有条件的应集中排入站址所在地区的市政污水处理系统统一处理;没有条件的应站内收集处理。处理后宜综合利用,需要排放的,排放标准应符合现行国家标准《污水综合排放标准》GB8978和当地地方标准的规定。
12.2.2 光伏发电站污水排放口的设置应满足地方环境保护标准的要求。
12.2.3 光伏发电站噪声防治设计应符合现行国家标准《工业企业厂界环境噪声排放标准》GB 12348的规定。对逆变器及其他输变电设施产生的噪声应从声源上进行控制,并可采用隔声、消声、吸声等控制措施。噪声控制的设计应符合现行国家标准《工业企业噪声控制设计规范》GB/T50087的规定。
12.2.4 水上光伏发电站的就地逆变升压单元采用油浸式变压器时,应采取防止变压器漏油对水环境造成污染的措施。
12.2.1 为避免重复投资,有条件的光伏发电站的生活污水可引入集中污水处理系统统一处理,但当企业周围没有污水集中处理场,或有集中处理场但距离太远时,可采用厂内集中处理、回收利用或达标排放。
12.2.3 设计时需对设备制造企业提出要求,采取措施,有效降低噪声。
12.2.4 采取措施包括变压器设置漏油收集池和挡油槛,或者变压器采用植物型绝缘油等。
12.3 水土保持
12.3.1 光伏发电站水土保持设计应符合当地水土流失防治目标的要求。
12.3.2 光伏发电站所在地为山区、丘陵等水土易流失区域时,应按国家相关规定编制水土保护方案,并取得相关的批复文件。
12.3.3 施工结束后,除基础和道路外,其他地方宜恢复原有植被。对施工过程中形成的控制地貌应进行整治。
12.3.4 站内生活区可绿化部位宜进行绿化。
13 劳动安全与职业健康
13.0.1 光伏发电站设计应符合国家现行的职业安全与职业病危害防治相关法律、标准及规范的规定,且应贯彻“安全第一、预防为主、综合治理”的方针。
13.0.2 光伏发电站的职业安全与职业病危害防护设施和各项措施应与主体工程同时设计、同时施工、同时投入生产和使用。
13.0.3 光伏发电站站区的配电间、逆变器室、变压器室、综合楼、库房、车库、作业场所等的防火分区、防火隔断、防火间距、安全疏散和消防通道设计均应符合现行国家标准《建筑设计防火规范》GB 50016、《建筑内部装修设计防火规范》GB 50222、《火力发电厂与变电站设计防火标准》GB 50229等标准的规定。
13.0.4 光伏发电站防爆设计应符合现行国家标准《爆炸危险环境电力装置设计规范》GB50058、《电力工程电缆设计标准》GB50217和《交流电气装置的接地设计规范》GB/T50065等标准的规定。
13.0.5 电气设备的布置应满足带电设备的安全防护距离要求,并应有必要的隔离防护措施和防止误操作措施;应设置防直击雷设施,并采取安全接地等措施。
防电灼伤的设计应符合国家现行标准《高压配电装置设计规范》DL/T5352、《建筑物防雷设计规范》GB50057、《3~110kV高压配电装置设计技术规范》GB50060、《交流电气装置的接地设计规范》GB/T50065、《交流电气装置的过电压保护和绝缘配合设计规范》GB/T50064、《电气设备安全设计导则》GB/T25295的规定。
13.0.6 平台、走道、吊装孔等有坠落危险处,应设栏杆或盖板。需登高检查、维修及更换光伏组件处,应设操作平台或扶梯。
防坠落伤害设计应符合现行国家标准《生产设备安全卫生设计总则》GB 5083等标准的规定。
13.0.7 防暑、防寒、防潮设计应符合现行国家标准《工业建筑供暖通风与空气调节设计规范》GB50019和《民用建筑供暖通风与空气调节设计规范》GB50736的规定。
13.0.8 利用山地建设光伏发电站时,对山体地形较陡、土壤松动、有碎石滚落等区域,应采取安全防护措施。
13.0.1 大、中型光伏发电站在项目可行性研究阶段,可根据需要单独编制《劳动安全与职业卫生专篇》。
13.0.2 《中华人民共和国劳动法》规定:“劳动安全与职业卫生设施必须符合国家规定的标准。新建、改建、扩建工程的劳动安全与职业卫生设施必须与主体工程同时设计、同时施工、同时投入生产和使用。”
14 消防
14.1 建(构)筑物火灾防护
14.1.1 光伏发电站建(构)筑物火灾危险性分类及耐火等级应符合表14.1.1的规定:
表14.1.1 建(构)筑物火灾危险性分类及其耐火等级

续表14.1.1
14.1.2 建(构)筑物构件的燃烧性能和耐火极限应符合现行国家标准《建筑设计防火规范》GB 50016的规定。
14.1.3 电站内的建(构)筑物与电站外的民用建(构)筑物及各类厂房、库房、堆场、储罐之间的防火间距应符合现行国家标准《建筑设计防火规范》GB 50016的规定。
14.1.4 电站内的建(构)筑物及设备的防火间距不应小于表14.1.4的规定。
14.1.4A 两座丙、丁、戊类建筑相邻两面的外墙应均为不燃烧墙体,当无外露的可燃性屋檐,每面外墙上的门、窗、洞口面积之和各不大于外墙面积的5%,且门、窗、洞口不正对开设时,其防火间距可按本标准表14.1.4减少25%。
14.1.4B 两座相邻建筑较高一面的外墙为防火墙,或相邻两座高度相同的一、二级耐火等级建筑中相邻任一侧外墙为防火墙且屋顶耐火等级不低于1.00h时,其防火间距不限;两座一、二级耐火等级的建筑,当相邻较低一面外墙为防火墙且较低一座建筑屋顶无天窗,屋顶的耐火极限不低于1.00h,或相邻较高一面外墙的门、窗等开口部位设置甲级防火门、窗或防火分隔水幕时,其防火间距不应小于4m。
14.1.4C 电站生产建筑物与油浸变压器、油浸电抗器或可燃介质电容器的间距不满足本标准第14.1.4条的要求时,应符合下列规定:
1 当建筑物与油浸变压器或可燃介质电容器等电气设备间距小于5m时,在设备外轮廓投影范围外侧各3m内的建筑物外墙上不应设置门、窗、洞口和通风孔,且该区域外墙应为防火墙。当设备高于建筑物时,防火墙应高于该设备的高度;当建筑物墙外5m~10m范围内布置有油浸变压器、油浸电抗器或可燃介质电容器等电气设备时,在上述外墙上可设置甲级防火门,设备高度以上可设防火窗,其耐火极限不应小于0.90h。
2 当工艺需要油浸变压器等电气设备有电气套管穿越防火墙时,防火墙上的电缆孔洞应采用耐火极限为3.00h的电缆防火封堵材料或防火封堵组件进行封堵。
表14.1.4 电站内的建(构)筑物及设备的防火间距(m)

注:
1 建(构)筑物防火间距应按相邻建(构)筑物外墙的最近水平距离计算,如外墙有凸出的可燃或难燃构件时,则应从其凸出部分外缘算起;变压器之间的防火间距应为相邻变压器外壁的最近水平距离;变压器与带油电气设备的防火间距应为变压器和带油电气设备外壁的最近水平距离;变压器与建筑物的防火间距应为变压器外壁与建筑外墙的最近水平距离;屋外配电装置间距应为设备外壁的最近水平距离。
2 相邻两座建筑物两面的外墙为非燃烧体且无外露的燃烧屋檐时,其防火间距和建筑物外墙上门、窗、孔洞设置应符合本标准第14.1.4A条的规定。
3 相邻两座建筑任一面的外墙为防火墙时,其防火间距和建筑物外墙防火设计应符合本标准第14.1.4B条的规定。
4 生产建(构)筑物外墙5m以内布置油浸变压器或可燃介质电容器(无功补偿)等电气设备以及建(筑)物外墙距含油设备外廓5m~10m时,其防火间距应符合本标准第14.1.4C条的规定。
5 表中办公、生活建筑系指生产行政楼、食堂、浴室、宿舍、警卫室等建筑物。
6 单台油浸变压器、油浸电抗器、预装式变电站油量小于5t时,与事故油池和建筑的防火间距按油量5t的设备确定。
14.1.5 控制室室内顶棚和墙面应采用A级装修材料,地面及其他装修应采用不低于B1级的装修材料。电站各类建筑的室内装修防火设计应符合现行国家标准《建筑内部装修设计防火规范》GB50222的规定。
14.1.6 设置带油电气设备的建(构)筑物与贴邻或靠近该建(构)筑物的其他建(构)筑物之间必须设置防火墙。
14.1.7 大、中型光伏发电站内的消防车道宜布置成环形;当为尽端式车道时,应设回车场地或回车道。消防车道宽度及回车场的面积应符合现行国家标准《建筑设计防火规范》GB 50016的规定。
14.1.8 变压器室、蓄电池室、继电器室、配电装置室的门应向疏散方向开启;当门外为公共走道或其他房间时,该门应采用乙级防火门。
14.1.9 建筑面积超过250㎡的控制室、配电装置室、继电器室,其疏散出口不宜少于2个。
14.1.10 电站电化学储能系统的建筑防火要求应符合现行国家标准《电化学储能电站设计规范》GB51048的规定。
14.1.1 表14.1.1系根据现行国家标准《建筑设计防火规范》GB 50016及《火力发电厂与变电站设计防火规范》GB 50229的规定,结合光伏发电站内建筑物的特性确定。
通过对目前已建光伏电站的调研,一些位置偏远、交通不便、附近无市电的光伏电站为解决后备电源、备品备件储存等问题,建设了“柴油发电机室”“备品备件室”“危废室”等建筑物,为此本条新增了对这些建筑物火灾危险性分类的界定和建筑物耐火等级的要求。
光伏电站一般采用计算机监控系统,控制室内一般仅有台式计算机、打印机、控制台等设备,控制室的墙面、顶棚都为不燃材料,室内仅有少许的网线、电源线等线缆,控制室的火灾危险性较低,故定义为戊类。
14.1.4 表14.1.4系根据现行国家标准《火力发电厂与变电站设计防火标准》GB50229的规定,结合光伏电站内建筑物的特性确定。
表中的办公、生活建筑是指设置在站区内独立建造的办公、实验研究、食堂、浴室等不具有生产或仓储功能的建筑,从使用功能上看属于民用建筑范畴。为生产和管理方便,直接为生产服务的办公管理用房、工作人员临时休息用房等与厂房组合建造在同一座建筑内时,一般视为工业建筑,可以根据所服务场所的火灾危险性类别确定其火灾危险性。
14.1.4C 油浸变压器等含油电气设备装有大量可燃油品,一旦发生火灾,火势大、蔓延快,所以当变压器与建筑物较近时,建筑物外墙要按防火墙设计,墙上不设门窗,以免火灾蔓延到建筑物内。当变压器距建筑物较远时,变压器火灾对建筑物的火灾威胁相应降低,可以设置防火门、防火窗,以减少火灾对建筑物的影响。
当油浸变压器等含油电气设备与配电装置室贴邻布置时,由于电气工艺需要有变压器等的电气套管穿越防火墙进入配电装置楼,防火墙的预留孔与套管之间的空隙要全部封堵严密,防止火灾穿过防火墙。
14.1.5 控制室是光伏电站的核心,是人员比较集中的地方,有必要限制房间内的可燃物,减少火灾损失。
14.1.6 本条为强制性条文,必须严格执行。带油电气设备在使用过程中容易引发火灾。一旦发生火灾,为了防止火势蔓延到与其贴邻或靠近该建(构)筑物的其他建(构)筑物,在与其他建(构)筑物贴邻或靠近侧应设置防火墙。
14.1.7 光伏发电站占地面积大,光伏组件阵列区道路布置为环形后更易于满足消防半径要求。
14.1.8 对原条文第14.4.1条进行了修改,并将内容调整到本节。光伏电站配电装置室一般不设中间隔墙,故本标准不再对中间隔墙上的门提出防火要求。
14.1.9 对原条文第14.4.2条进行了修改,并将内容调整到本节。原规范中的主控制室内涵是包括继电器室,但现在电站控制室与继电器室分离设计情况非常普遍,为此本标准将主控室改为控制室、继电器室。
14.2 变压器及其他带油电气设备
14.2.1 油量为2500kg及以上的屋外油浸变压器或油浸电抗器之间的最小间距应符合表14.2.1的规定。
表14.2.1 屋外油浸变压器、油浸电抗器之间的最小间距(m)

14.2.2 当油量为2500kg及以上的屋外油浸变压器或油浸电抗器之间的防火间距不能满足本标准表14.2.1的要求时,应设置防火墙。防火墙的高度应高于变压器油枕,其长度不应小于变压器的储油池两侧各1m。
14.2.2A 油量为1000kg及以上至2500kg以下的室外油浸变压器或电抗器之间的防火间距不应小于3.0m;油量为1000kg以下的室外油浸变压器或电抗器之间的防火间距不应小于1.5m;当不能满足上述要求时,应设置防火墙。防火墙的高度应高于变压器油枕,其长度不应小于变压器的储油池两侧各0.5m。
14.2.3 油量为2500kg及以上的屋外油浸变压器、油浸电抗器与油量为600kg以上的其他充油电气设备之间的防火间距不应小于5m;油量为2500kg以下的屋外油浸变压器、油浸电抗器与其他充油电气设备之间的防火间距不应小于3m。当不能满足要求时,应设置防火墙。防火墙的高度应高于变压器油枕顶部0.3m,其长度不应小于变压器的储油池两侧各0.5m。
14.2.4 (此条删除)
14.2.4A 35kV以上屋内配电装置应安装在有不燃烧实体墙的间隔内,不燃烧实体墙的高度不应低于配电装置中带油设备的高度。35kV及以下屋内配电装置当未采用金属封闭开关设备时,其油断路器、油浸电流互感器和电压互感器,应设置在两侧有不燃烧实体墙的间隔内。总油量超过100kg的屋内油浸变压器应设置单独的变压器室。
14.2.5 屋内单台总油量为100kg以上的电气设备应设置贮油或挡油设施。挡油设施的容积宜按油量的20%设计,并应设置将事故油排至安全处的设施。当不能满足上述要求时,应设置能容纳全部油量的贮油设施。
14.2.6 屋外单台油量为1000kg以上的电气设备应设置贮油或挡油设施,其容积宜按设备油量的20%设计,并能将事故油排至总事故贮油池。总事故贮油池的容量应按其接入的油量最大的一台设备确定,并设置油水分离装置。当不能满足上述要求时,应设置能容纳相应电气设备全部油量的贮油设施,并设置油水分离装置。
贮油或挡油设施应大于设备外廓每边各1m。
14.2.6A 光伏方阵区域的室外单台油量为1000kg以上的箱式变压器或逆变一体机等预装式变电站设备,应设置能容纳相应电气设备全部油量的事故贮油池或事故贮油箱。
14.2.7 贮油设施内应铺设卵石层,其厚度不应小于250mm,卵石直径宜为50mm~80mm。
14.2.8 至总事故贮油池的事故排油管的内径不宜小于150mm,管道入口处应加装铁栅滤网。
14.2.1 依据现行国家标准《火力发电厂与变电站设计防火标准》GB50229制定。
14.2.2A 增加了油量为1000kg及以上至2500kg以下的室外油浸变压器或电抗器之间的防火间距要求,以及1000kg以下的室外油浸变压器或电抗器之间的防火间距要求。
14.2.3 增加了室外油浸变压器或电抗器与其他充油设备之间的防火间距要求。
14.2.4A 由于35kV以上屋内配电装置中带油设备较多且较大,如发生火灾容易向周边蔓延,因此应安装在有不燃烧实体墙的间隔内。
总油量超过100kg的屋内油浸变压器单独设置变压器室(35kV变压器和10kV、80kV·A及以上的变压器油量均超过100kg),并设置灭火设施,目的也是为了防止火势向周边蔓延。
14.2.6 总事故贮油池容量的规定与国家现行标准《火力发电厂与变电站设计防火标准》GB50229、《高压配电装置设计规范》DL5352保持一致,删除了原规范中“当设置有油水分离措施的总事故油池时,其容量宜按最大一个油箱容量的60%确定”的规定。本规定与现行国家标准《火力发电厂与变电站设计防火标准》GB50229—2019的第6.7.8条、第6.7.9条在“储油”和“贮油”用词稍有区别,“储油设施”是指变压器下方铺设卵石层的池子,而“贮油”主要用于“总事故贮油池”和“事故贮油池”,其内部不需要铺设卵石层。
14.2.6A 本条结合光伏电站特点,增加了对光伏区含油设备事故排油的规定。光伏方阵的油浸式变压器采用箱式变压器或与逆变一体化设计的集成设备时,设备周边不设置防护围栏,设置储油或挡油设施不利于检修和维护,而事故贮油池的设置可以很好满足防火和运维要求。
14.3 电缆
14.3.1 当控制电缆或通信电缆与电力电缆敷设在同一电缆沟内时,宜采用防火槽盒或防火隔板进行分隔。
14.3.2 电缆沟道的下列部位应设置耐火极限不低于2.00h的防火分隔及防火封堵措施:
1 电缆从室外进入室内的入口处。
2 穿越控制室、配电装置室处。
3 电缆沟道每隔100m处。
4 电缆沟道分支引接处。
5 控制室与电缆夹层之间。
14.3.3 电缆及穿线管在穿越防火分区、楼板、墙体的洞口等处应采用防火堵料进行防火封堵,其防火堵料的耐火极限不应低于被贯穿物的耐火极限,且不应低于2.00h。
14.3.4 光伏区电缆采用电缆槽盒敷设时,应在电缆槽盒分支处及电缆槽盒每间距100m处进行防火封堵。
14.3.5 靠近带油设备的电缆沟盖板应密封。
14.3.1 电力电缆发热量较大,火灾发生几率远大于控制电缆或通讯电缆,采用适当的防火分隔措施可提高监控系统的可靠性。
14.3.2 考虑到光伏电站电缆分布广,从发现火情到人员赶到地方需要一定的时间,为了尽量缩小事故范围,缩短修复时间并节约投资,在电缆沟道内应采用分隔和阻燃作为应对电缆火灾的主要措施,并提出具体的耐火极限要求。
14.3.3 采用电缆防火封堵材料对穿越防火分区、楼板、墙体的洞口进行严密封堵,可以隔离或局限燃烧的范围,防止火势蔓延。
14.3.4 一些光伏电站受地质条件或其他建设条件限制,光伏区电缆需要采用槽盒敷设,在电缆槽盒分支处及电缆槽盒一定范围处做阻火措施可以有效防止电缆火灾的扩大。
14.3.5 含油设备如发生爆炸溢油,可能流入电缆沟造成火灾事故扩大,对靠近带油设备的电缆沟盖板进行密封可以有效防止类似事故的发生。
14.4 建(构)筑物的安全疏散和建筑构造
(此节删除)
14.5 消防给水、灭火设施及火灾自动报警
14.5.1 在进行光伏发电站的规划和设计时,应同时设计消防给水系统。消防水源应有可靠的保证。
当电站内的建筑物满足耐火等级不低于二级,建筑物单体体积不超过3000m³且火灾危险性为戊类时,可不设置消防给水系统。
14.5.2 光伏发电站同一时间内的火灾次数应按一次确定。
14.5.3 光伏发电站消防给水量应按火灾时一次最大室内和室外消防用水量之和计算。
14.5.4 含逆变器室、就地升压变压器的光伏方阵区不宜设置消防水系统。
14.5.5 光伏发电站的主变压器、油浸电抗器采用水喷雾灭火系统时,其附近应设置消火栓,其他屋外配电装置区域可不设置消火栓。
14.5.6 光伏发电站建筑物室外消火栓设计用水量不应小于表14.5.6的规定。
表14.5.6 室外消火栓设计用水量(L/s)

注:
1 室外消火栓用水量应按消防用水量最大的一座建筑物计算;
2 当变压器采用水喷雾灭火系统时,变压器室外消火栓设计用水量不应小于15L/s。
14.5.7 光伏发电站建筑物室内消火栓设计用水量不应小于表14.5.7的规定。
表14.5.7 室内消火栓设计用水量(L/s)

14.5.8 光伏发电站内建(构)筑物符合下列条件时可不设室内消火栓:
1 耐火等级为一、二级且可燃物较少的单层和多层的丁、戊类生产建筑物。
2 耐火等级为三级且建筑体积小于3000m³的丁类建筑物和建筑体积不超过5000m³的戊类建筑物。
3 室内没有生产、生活用水管道,室外消防用水取自储水池且建筑体积不超过5000m³的建筑物。
4 占地面积不大于300㎡的建筑。
14.5.9 消防水管道、消防水池、消防水泵及消火栓系统的设计应符合现行国家标准《消防给水及消火栓系统技术规范》GB50974的规定。
14.5.10 单台容量为125MV·A及以上的油浸变压器、200Mvar及以上的油浸电抗器应设置水喷雾灭火系统或其他固定式灭火装置。其他带油电气设备宜配置干粉灭火器。当油浸式变压器、油浸电抗器布置在地下室时,宜采用固定式灭火系统。
14.5.11 当油浸式变压器、油浸电抗器采用水喷雾灭火时,水喷雾灭火系统的设计应符合现行国家标准《水喷雾灭火系统技术规范》GB50219的规定。
14.5.12 光伏发电站灭火器设置时,建(构)筑物与设备火灾种类及危险等级选择应符合表14.5.12的规定:
表14.5.12 建(构)筑物与设备火灾种类及危险等级

续表14.5.12
注:配电装置室包括预制舱式配电室。
14.5.13 灭火器的设置应符合现行国家标准《建筑灭火器配置设计规范》GB 50140的规定。
14.5.14 大型或无人值守的光伏发电站在控制室、配电装置室、继电器室、含有可燃介质的电容器室、采用固定灭火系统的油浸变压器或油浸电抗器、电缆夹层及竖井等处应设置火灾自动报警系统。
14.5.15 电站主要建(构)筑物和设备火灾探测报警系统应符合表14.5.15的规定。
表 14.5.15 主要建(构)筑物和设备火灾探测报警系统

14.5.16 火灾自动报警系统的设计应符合现行国家标准《火灾自动报警系统设计规范》GB 50116的规定。
14.5.17 有人值班的光伏发电站的消防控制室应与电站主控制室合并设置。无人值守的光伏发电站的火灾报警控制器宜设置在综合楼门厅,并将火警信号传至集控中心。
14.5.18 电化学储能设施的消防设施设计应符合现行国家标准《电化学储能电站设计规范》GB51048的规定。
14.5.1 根据现行国家标准《建筑设计防火规范》GB 50016确定光伏电站消防给水的基本原则。消防用水可由城市给水管网、天然水源或消防水池供给。利用天然水源时,其保证率不应小于97%,且应设置可靠的取水设施。在我国,有些地区水源十分丰富(例如长江三角洲地区等),有的地区常年干旱,水资源十分缺乏(如西北地区等),因此光伏电站消防水源的选择应根据当地实际情况确定。
14.5.3 室内和室外消防用水量之和包括室外消火栓系统、室内消火栓系统、自动喷水灭火系统、泡沫灭火系统、水喷雾系统、固定消防炮灭火系统、固定冷却水系统等需要同时作用的各种水灭火系统的设计流量组成。最大用水量是指按需要同时作用的水灭火系统最大设计流量之和。当消防给水系统与生活、生产给水合用时,合用水的设计流量取消防给水设计流量与生活、生产最大流量之和,其中生活、生产最大小时流量计算时,淋浴用水量按15%计算,浇洒、洗涮及光伏组件清洗等火灾时能够停用的用水量可以不计入。当光伏电站与储能设施共用一套消防给水系统时,还需考虑储能设施的消防用水量。
14.5.4 根据现行国家标准《建筑设计防火规范》GB 50016和光伏发电站实际情况,光伏阵列区主要由电气设备构成,白天直流侧始终带电,不适合采用水消防。
14.5.6、14.5.7 依据现行国家标准《消防给水及消火栓系统技术规范》GB50974进行调整。
14.5.8 与现行国家标准《建筑设计防火规范》GB50016相应条文保持协调。
14.5.10 本条在原标准基础上增加了对油浸电抗器设置水喷雾灭火系统或其他固定式灭火装置在容量方面的要求。增加了油浸式变压器、油浸式电抗器在地下室布置时的灭火设施要求。
14.5.12 增加了预装式变电站、柴油发电机室、雨淋阀室、泡沫设备室、备品备件室、危废室等建(构)筑物和设备的火灾危险性类别及危险等级。
14.5.14 根据现行国家标准《火力发电厂与变电站设计防火标准》GB 50229的规定,50MW及以上的火力发电厂在重点部位设置火灾探测报警系统。光伏发电站火灾危险源主要是电缆及电气类设备,因光伏电站发电量由太阳辐射大小决定,其电气设备负荷及电缆载流量也随太阳辐射量的变化而变化,早晚为零,中午接近设计值,因此光伏发电站火灾发生概率较常规火电厂小许多。结合光伏发电站特性,建议大型光伏发电站或无人值守电站设置火灾报警系统,并相应规定火灾探测报警系统的设置范围,以减少设备投资。
14.5.15 根据现行国家标准《建筑灭火器配置设计规范》GB50016,结合光伏发电站的实际情况,规定了主要建筑物火灾危险类别和危险等级。建筑物不同的火灾危险类别和危险等级需配不同种类的灭火设施,才能防患于未然。
14.5.17 目前一些光伏电站采用远程集中控制方式,现场采用无人值守方式,因此需要将电站火灾报警信息上传至远程集控中心监控室,确保监控人员获得报警信息和灭火系统动作信息,及时处理火警。
14.5.18 光伏电站配置一定的储能设施是未来光伏发电站发展趋势,电化学储能技术相对成熟且具有多方面优势,因此在发电侧储能项目中得到了广泛应用。电化学储能技术路线多,在消防要求方面明显有别于光伏电站内的常规设施,故在此提出单独的设施要求。
14.6 消防供电及应急照明
14.6.1 光伏发电站的消防供电设计应符合下列要求:
1 消防水泵、自动灭火系统、火灾探测报警、消防应急照明应按Ⅱ类负荷供电。
2 消防用电设备采用双电源或双回路供电时,应在最末一级配电箱处自动切换。
3 消防应急照明可采用蓄电池作备用电源,疏散走道应急照明、疏散指示标志的连续供电时间不应小于30min,继续工作应急照明连续供电时间不应少于3h。
14.6.2 火灾应急照明和疏散标志应符合下列要求:
1 电站控制室、配电装置室、建筑疏散走道、消防水泵房、楼梯间、楼梯间的前室或合用前室应设置应急照明。
2 人员疏散用的应急照明的地面最低水平照度不应低于3.0lx;对于楼梯间、楼梯间的前室或合用前室,不应低于10.0lx;控制室、消防水泵房、柴油发电机室、配电装置室以及发生火灾时仍需连续工作的应急照明应保证正常照明的照度。
3 应急照明灯应设置在出入口的顶部、墙面的上部或顶棚上。
4 安全出口或疏散门正上方应设置灯光疏散指示标志。
5 疏散走道及其转角处应在距地面1.0m以下的墙面或地面上设置灯光疏散指示标志。灯光疏散指示标志间距不应大于20m;在走道转角区,不应大于1m。
14.6.3 电站应急照明的设计应符合现行国家标准《建筑防火通用规范》GB55037、《建筑设计防火规范》GB50016、《建筑照明设计标准》GB50034的规定。
14.6.4 建筑内设置的消防疏散指示标志和消防应急照明灯具应符合现行国家标准《消防安全标志 第1部分:标志》GB13495.1和《消防应急照明和疏散指示系统》GB17945的规定。
14.6.1 消防电源采用双电源或双回路供电时,为了避免一路电源或一路母线故障造成消防电源失去,延误消防灭火的时机,保证消防供电的安全性和消防系统的正常运行,规定两路电源供电至末级配电箱进行自动切换。但是在设置自动切换设备时,要有防止由于消防设备本身故障且开关拒动时造成的全站站用电停电的保护措施,因此需配置必要的控制回路和备用设备,保证可靠的切换。
14.6.2 根据现行国家标准《建筑防火通用规范》GB55037、《建筑设计防火规范》GB50016对应急照明和疏散指示标识做了具体规定。
附录A 最大可能的日水平面总辐照量
表A 各纬度最大可能的日水平面总辐照量[MJ/(㎡·d))]

附录B 光伏阵列最佳倾角参考值
(此附录删除)
附录C 钢制地锚
(此附录删除)
附录D 大气腐蚀环境分类

本规范用词说明
1 为便于在执行本规范条文时区别对待,对要求严格程度不同的用词说明如下:
1)表示很严格,非这样做不可的:
正面词采用“必须”,反面词采用“严禁”;
2)表示严格,在正常情况下均应这样做的:
正面词采用“应”,反面词采用“不应”或“不得”;
3)表示允许稍有选择,在条件许可时首先应这样做的:
正面词采用“宜”,反面词采用“不宜”;
4)表示有选择,在一定条件下可以这样做的,采用“可”。
2 条文中指明应按其他有关标准执行的写法为:“应符合……的规定”或“应按……执行”。
引用标准名录
《建筑地基基础设计规范》GB 50007
《建筑结构荷载规范》GB 50009
《建筑抗震设计规范》GB 50011
《建筑给水排水设计规范》GB 50015
《建筑设计防火规范》GB 50016
《钢结构设计规范》GB 50017
《采暖通风与空气调节设计规范》GB 50019
《建筑抗震鉴定标准》GB 50023
《建筑物防雷设计规范》GB 50057
《爆炸和火灾危险环境电力装置设计规范》GB 50058
《3~110kV高压配电装置设计规范》GB 50060
《火灾自动报警系统设计规范》GB 50116
《建筑灭火器配置设计规范》GB 50140
《工业建筑可靠性鉴定标准》GB 50144
《构筑物抗震设计规范》GB 50191
《电力工程电缆设计规范》GB 50217
《水喷雾灭火系统设计规范》GB 50219
《建筑内部装修设计防火规范》GB 50222
《并联电容器装置设计规范》GB 50227
《火力发电厂与变电站设计防火规范》GB 50229
《民用建筑可靠性鉴定标准》GB 50292
《入侵报警系统工程设计规范》GB 50394
《视频安防监控系统工程设计规范》GB 50395
《出入口控制系统工程设计规范》GB 50396
《工业企业噪声控制设计规范》GBJ 87
《电气设备安全设计导则》GB/T 25295
《生产设备安全卫生设计总则》GB 5083
《生活饮用水卫生标准》GB 5749
《油浸式电力变压器技术参数和要求》GB/T 6451
《污水综合排放标准》GB 8978
《干式电力变压器技术参数和要求》GB/T 10228
《电能质量 供电电压偏差》GB/T 12325
《电能质量 电压波动和闪变》GB/T 12326
《工业企业厂界环境噪声排放标准》GB 12348
《金属覆盖层 钢铁制件热浸镀锌层技术要求及试验方法》GB/T 13912
《继电保护和安全自动装置技术规程》GB/T 14285
《电能质量 公用电网谐波》GB/T 14549
《电能质量 三相电压不平衡》GB/T 15543
《三相配电变压器能效限定值及节能评价值》GB 20052
《电力变压器能效限定值及能效等级》GB 24790
《建筑地基处理技术规范》JGJ 79
《建筑桩基技术规范》JGJ 94
《玻璃幕墙工程技术规范》JGJ 102
《建筑抗震加固技术规程》JGJ 116
《电业安全工作规程》DL 408
《电能计量装置技术管理规程》DL/T 448
《电力系统通信管理规程》DL/T 544
《电力系统通信自动交换网技术规范》DL/T 598
《交流电气装置的过电压保护和绝缘配合》DL/T 620
《交流电气装置的接地》DL/T 621
《电力工程直流系统设计技术规程》DL/T 5044
《火力发电厂、变电所二次接线设计技术规程》DL/T 5136
《电测量及电能计量装置设计技术规程》DL/T 5137
《导体和电器选择设计技术规定》DL/T 5222
《高压配电装置设计技术规程》DL/T 5352
《地面气象观测规范》QX/T 55
本站除声明原创之外均来自网络,旨在传递更多消防常识,如有倾权,联系删除。发布者:就爱消防网,本文地址:https://ixiaofang.com/13641.html
